Решение нелинейного уравнения (системы нелинейных уравнений), описывающего (описывающих) состояние электрической цепи, может быть реализовано приближенными численными методами. Решение находится следующим образом: на основе первой, достаточно грубой, оценки определяется начальное значение корня (корней), после чего производится уточнение по выбранному алгоритму до вхождения в область заданной погрешности.
Наиболее широкое применение в электротехнике для численного расчета нелинейных резистивных цепей получили метод простой итерации и метод Ньютона-Рафсона, основные сведения о которых приведены в табл. 1.
Таблица 1. Итерационные методы расчета
| Последователь-ность расчета | Геометрическая иллюстрация алгоритма | Условие сходимости итерации | Примечание |
Метод простой итерации
1.Исходное нелинейное уравнение электрической цепи , где -искомая переменная, представляется в виде .
2. Производится расчет по алгоритму где
- шаг итерации.
| Здесь - заданная погрешность
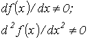
| На интервале между приближенным и точным значениями корня должно выполняться неравенство
| 1.Начальное приближение обычно находится из уравнения при пренебрежении в нем нелинейными членами.
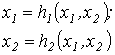
2. Метод распространим на систему нелинейных уравнений n-го порядка. Например, при решении системы 2-го порядка
итерационные формулы имеют вид ;
.
3. При решении системы уравнений сходимость обычно проверяется в процессе итерации.
|
Метод Ньютона-
-Рафсона
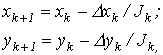
1. На основании исходного нелинейного уравнения электрической цепи , где -искомая переменная, записывается итерационная формула где - шаг итерации.
2.По полученной формуле проводится итерационный расчет
| Здесь - заданная погрешность
| На интервале между приближенным и точным значениями корня должны выполняться неравенства
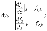
| Примечания п. 1,2 и 3 к методу простой итерации распространимы на метод Ньютона-Рафсона. При этом при решении системы 2-го порядка
итерационные формулы имеют вид
где
|
, где
-искомая переменная, представляется в виде
.
2. Производится расчет по алгоритму
где
- шаг итерации.
Здесь
- заданная погрешность
обычно находится из уравнения
итерационные формулы имеют вид
;
.
3. При решении системы уравнений сходимость обычно проверяется в процессе итерации.
где
- шаг итерации.
2.По полученной формуле проводится итерационный расчет
Здесь
итерационные формулы имеют вид
где






