Находим глубину резания
,мм.
мм
По глубине резания, типу обработки и шероховатости из справочных данных выбираем подачу: выбираем из таблицы
5мм/об
Определяем скорость резания
,
где
- коэффициент, учитывающий условия обработки,
,
,
– показатели степени,
Т=25 мин – период стойкости инструмента;
S – подача;
-обобщенный поправочный коэффициент;
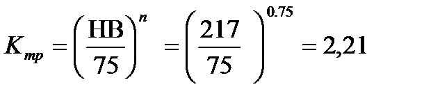
- коэффициент, учитывающий материал заготовки;
- коэффициент, учитывающий глубину обрабатываемого отверстия,
[ 3, т.31].
- коэффициент, учитывающий материал инструмента,
;
Тогда
.
Определяем частоту вращения шпинделя
,
.
Округляем частоту вращения по паспорту станка. n = 800 об/мин
Находим крутящий момент

где
- коэффициент, учитывающий условия обработки;
,
,– показатели степени;

- поправочный коэффициент, представляющий собой произведение ряда коэффициентов, учитывающих фактические условия резания;
;






