
Принимаем ближайшее стандартное b2 =71мм.
Модуль передачи.
Коэффициент Km=5,8

Округляя, принимаем из 2-го ряда т = 3,5 мм.
Угол наклона и суммарное число зубьев.
Минимальный угол наклона зубьев

Суммарное число зубьев

Округляя, принимаем 
Действительное значение угла наклона зубьев

Число зубьев шестерни и колеса.
Число зубьев шестерни

Число зубьев колеса

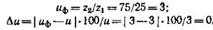
Фактическое передаточное число
I
Диаметры колес.
Делительные диаметры:
Шестерни

Колеса

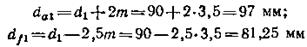
Диаметры окружностей вершин и впадин шестерни

колеса
I
Пригодность заготовки колес

Если колесо с выточками, то

Если колесо без выточек, то 
По табл. 1 
Следовательно, условия
выполняются.






