;
Радиальная

(для стандартного угла α=20º, tg α=0,364);
Осевая

11. Проверка зубьев колес по напряжениям изгиба.
Расчетное напряжение изгиба в зубьях колеса

Расчетное напряжение изгиба в зубьях шестерни

Расчетные напряжения могут отклоняться от допускаемых в пределах 
Для прямозубых колес КFα – 1, для колес с β>0º принимают:

Степень точности передач принимают по табл. 3.9 в зависимости от окружной скорости вращения колеса

Таблица 3.9

Коэффициент Yβ вычисляют по формуле 
Значение коэффициента Kfβ принимают по табл. 3.10.
Таблица 3.10

Значение коэффициента KFV принимают:

Коэффициент формы зуба YF принимают по
(табл. 3.11).
Таблица 3.11

12. Проверка зубьев колес по контактным напряжениям. Расчетные контактные напряжения

Они должны быть σн=(0,8…1,1)·[σ]н,
где КНα — коэффициент распределения нагрузки между зубьями (для прямозубых колес КНα = 1,0, для косозубых и шевронных колес КНα =1,1);
КНβ – принимают по табл. 3.7;
KHV — коэффициент динамической нагрузки, который принимают:
|
|
|

Пример. Рассчитать тихоходную ступень цилиндрической косозубой передачи по следующим данным (рис. 3.8): вращающий момент Т2=1700 Н·м; передаточное число и=3; угловая скорость колеса ω2=10,46 рад/с; время работы передачи Lh=2000 ч.
Рисунок 3.8
1. Выбор материала и термической обработки. Примем для колеса и шестерни сталь 40ХН и вариант термообработки II (см. табл. 3.5):
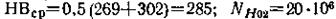
Колесо – улучшение; НВ 269…302; σт=750·106,
шестерня – улучшение и закалка ТВЧ, HRC 48…53.
2. Допускаемые напряжения. Число циклов перемены напряжений: для колеса N2=573ω2Lh=573·10,46·2000=12·106
для шестерни 
Число циклов перемены напряжений, соответствующее пределу контактной выносливости, определяем по графику (см. рис. 3.4)
для колеса 
для шестерни 
Коэффициенты долговечности:
для колеса

для шестерни

Допускаемые контактные напряжения и напряжения изгиба, соответствующие числу циклов NH0 и 4·106 (см. табл. 3.6)
для колеса

для шестерни

полагая, что модуль передачи m≥3 мм.
Допускаемые контактные напряжения и напряжения изгиба с учетом времени работы передачи:
для колеса

для шестерни

Среднее допускаемое контактное напряжение

Окончательно принимаем в паскалях (Па)

3. Межосевое расстояние. Примем ψа=0,4.
Тогда
по табл. 8 коэффициент Кнβ=1,12.
Тогда межосевое расстояние

Округляя до стандартного значения, принимаем aω=180 мм.






