22. На рисунке представлены вольт-секундные характеристики четырех разрядников и защищаемой изоляции. Вольт-секундная характеристика разрядника, чтобы изоляция была надежно защищена:

![]() |
![]() |
3
РВ
2
изоляция
4
![]() | |||
![]() | |||
РВ
![]() |
t
а) кривая 1;
б) кривая 2;
в) кривая 3;
г) кривая 4.
23. Молниеотвод высотой h = 20 м установлен на расстоянии 6 м от защищаемого объекта, размеры которого даны на рисунке высота защищаемого объекта, при которой целесообразно использовать этот молниеотвод:
![]() |
h
hx
8м
3м 6м
а) hx = 13 м;
б) hx = 10 м;
в) hx = 12 м;
г) hx = 4 м.
24. Тип разрядников предназначенных для ограничения как грозовых, так и внутренних перенапряжений:
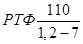
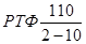
а) РВМ;
б) РВМГ;
в) РВМК;
г) РВТ.
25. На линии с Uном= 35 кВ в точке А установлены трубчатые разрядники. Токи короткого замыкания, подсчитанные для точки А, равны I (3) = 3,2 кА, I (2) = 1,8 кА. Какой тип разрядника является оптимальным?
а)
;
б)
;
в)
;
г)
.
26. Перенапряжения являющиеся наиболее опасными для электроустановок на напряжение 35 кВ:
а) Перенапряжение прямого удара молнии;
б) Индуктированные перенапряжения;
в) Коммутационные;
г) Резонансные.
27. Величина сопротивления заземляющего устройства обеспечивающая безопасную установку молниеотвода на расстоянии S = 3 м от защищаемого объекта, высота которого hx = 5 м.
![]() |
S h
hx
Rз
а) Rз = 25 Ом;
б) Rз = 20 Ом;
в) Rз = 10 Ом;
г) Rз = 5 Ом.
28. На ЛЭП 110 кВ в точке А установлен комплект трубчатых разрядников. Токи короткого замыкания, подсчитанные для этой точки сети, равны I (3) = 3,9 кА; I (1) = l,4 кА. Оптимальный тип разрядника:
а)
;
б)
;
в)
;
г)
.
29. На линии с Uном = 6 кВ в точке А установлен комплект трубчатых разрядников. Токи короткого замыкания, подсчитанные для данной точки сети, равны: I (3) = 0,9,кА; I (2) = 0,6 кА. Оптимальный тип разрядника:
а)
;
б)
;
в)
;
г)
.
30. Основной показатель грозоупорности воздушной линии:
а) предельная величина напряжения, выдерживаемая изоляцией линии;
б) удельное число грозовых отключений линии;
в) высота подвески грозозащитного троса на линии.
31. Напряжение при ударе молнии в трос в середине пролета определяется:
а) только крутизной тока молнии;
б) только длиной пролета;
в) крутизной тока молнии и длиной пролета.
32. Нормальный уровень грозоупорности линии 110 кВ на металлических опорах обеспечивается для этого:
а) защищаются тросом на подходах к подстанции;
б) защищаются тросом по всей длине;
в) не требуют специальных мер защиты.
33. Для обеспечения нормального уровня грозоупорности линии 6-10 кВ на деревянных опорах:
а) защищаются тросом по всей длине;
б) защищаются тросом на подходах к подстанции;
в) не требуют специальных мер защиты.
34. Для обеспечения нормального уровня грозоупорности линии 110 кВ на деревянных опорах:
а) защищаются тросом на подходах к подстанции;
б) защищаются тросом по всей длине;
в) не требуют специальных мер защиты.
35. Формула, по которой определяется величина индуктированного перенапряжения при ударе молнии на расстоянии S от линии электропередачи (hcp – высота подвеса провода):
а)
;
б)
;
в)
.
36. Индуктированные перенапряжения при грозовом разряде вблизи воздушной линии электропередачи возникает:
а) одновременно во всех проводах; имеют одинаковую полярность;
б) первоначально на проводах, ближайших к месту удара; имеют одинаковую полярность;
в) одновременно на всех проводах, полярность различна.
37. При ударе молнии в опору ЛЭП на последней индуктируется напряжение, состоящее из магнитной и электрической составляющей. Напряжение самоиндукции Uсам определяется:;
а) величиной тока молнии и Lon
б) крутизной фронта тока молнии и Lon
в) величиной тока молнии и Rоп
г) крутизной фронта тока молнии и Rоп
38. По воздушной линии 220 кВ распространяется импульсная электромагнитная волна перенапряжения 800 кВ с длительностью фронта
=1,2 мкс. Расстояние на котором будут находиться точки, в которых напряжение на линии минимально (220 кВ) и максимально (800 кВ):
а)
3800 м;
б)
1200 м;
в)
1,2 м;
г)
360 м.
39. Форма волны перенапряжения воздействующая на изоляцию, если разрядник установлен до защищаемого оборудования:
а) 1;
б) 2;
в) 3.
U
t
40. На тупиковой подстанции разрядник установлен до защищаемого оборудования. Кривая по которой должно изменяться напряжение на разряднике Upaз,чтобы изоляция оборудования была гарантированно защищена:
UРАЗ
UH3
U
ВСХОБ
1 2 3
ВСХРВ
t
а) по кривой 1;
б) по кривой 2;
в) по кривой 3.
41. На тупиковой подстанции разрядник РВ установлен до защищаемого оборудования. Положение точки А перегиба кривой изменения напряжения на разряднике (рис.) определяется:
U
UH3 UPA3
ВСХ ОБ
А ВСХ РВ
t
а) моментом срабатывания ИП разрядника;
б) изменением сопротивления разрядника;
в) приходом отраженной волны от объекта;
42. Напряжение гашения Uгаш вентильного разрядника:
а) минимальная величина напряжения рабочей частоты, при которой ИП надежно разрывает сопровождающий ток;
б) максимальная величина напряжения рабочей частоты, при которой ИП надежно разрывает сопровождающий ток;
в) 50%-ное импульсное напряжение ИП, при котором происходит гашение сопровождающего тока.
43. Дугогасящее действие искрового промежутка РВ характеризуется коэффициентом гашения kгаш. kгаш,если пробивное напряжение ИП на рабочей частоте равно 250 кВ, a Uram = 88 кВ. будет:
а) примерно 2,5;
б) примерно 2,05;
в) примерно 1,5.
44. Защитное действие рабочего сопротивления РВ характеризуется защитным коэффициентом гашения kгаш. kгаш,если Uост = 367 кВ, а Uram = 88 кВ будет:
а) примерно равно 3,00;
б) примерно равно 2,15;
в) примерно равно 3,88.
45. Нелинейное сопротивление должно:
а) увеличиваться при протекании Iмолн и уменьшаться при сопровождающем токе;
б) уменьшаться при токе молнии и увеличиваться при сопровождающем токе;
в) уменьшаться при токе молнии и при сопровождающем токе;
46. При ВАХ нелинейного сопротивления РВ величина защитного коэффициента kзащ будет наименьшей:
U
I
а) 1;
б) 2;
в) 3.
47. Характеристика, определяющая момент срабатывания вентильного разрядника (РВ):
а) ВАХ разрядника и кривой волны перенапряжения;
б) ВСХ разрядника и кривой волны перенапряжения;
в) ВАХ и ВСХ разрядника.
48. Задана кривая эффекта А для изоляции объекта. Кривая эффекта для разрядника, гарантирующая защиту объекта:
P
100%
1 2 A 3
50%
UПР
а) кривая 1;
б) кривая 2;
в) кривая 3;
г) не будет защищена.
49. Форма защитной зоны одиночного молниеотвода:
а) конус с криволинейной образующей;
б) конус с прямолинейной образующей;
в) окружность, радиус которой определяется высотой молниеотвода;
г) прямоугольник, с основанием определяющим высотой молниеотвода.
50. Вероятность прорыва молнии мимо тросовой защиты воздушной линии при увеличении защитного угла а:
а) увеличивается;
б) уменьшается;
в) практически не изменяется.













