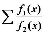
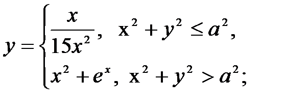
Задание 3.1. Обчислити суму ряда
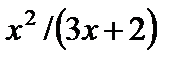
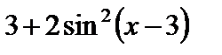
при а≤х≤b, Δх=с.
Таблиця 4 – Вихідні данні для завдання 3.1.
| вар | F1(x) | F2(x) | a | b | c |
|
| 0.5 | |||
|
| 0.2 | |||
|
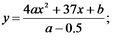
| 0.6 | 4.2 | 0.3 | |
|
| 0.5 | 4.8 | 0.2 | |
|
| 6.3 | 0.4 | ||
|
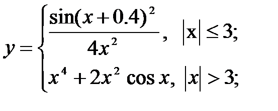
| 0.5 | |||
|
| 0.3 | |||
|
| 0.2 | |||
|
| 0.5 | 0.3 | ||
|
| -2 | 0.4 | ||
|
| 1.5 | 0.3 | ||
|
| 0.6 | 0.2 | ||
|
| 0.5 | 5.2 | 0.3 | |
|
| 1.2 | 6.3 | 0.4 | |
|
| 7.5 | 0.3 | ||
|
| 6.4 | 0.2 | ||
|
| 6.8 | 0.3 | ||
|
| 0.4 | |||
|
| 0.3 | |||
|
| 0.4 | |||
|
| 0.5 | |||
|
| 1.5 | 6.8 | 0.4 | |
|
| 0.5 | |||
|
| 0.2 | |||
|
| -2 | 0.3 |
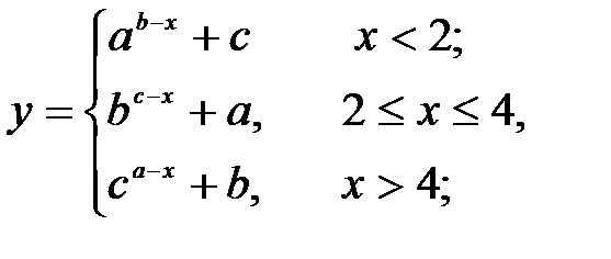
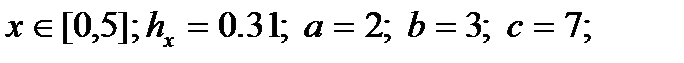
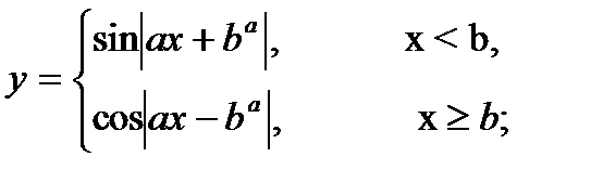
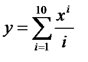
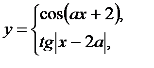
Завдання 3.2. Скласти алгоритм обчислення значення функцій при різних значеннях аргументів, заданих інтервалом зміни і величиною кроку, результат представити у вигляді таблиці
1. 
де 
2. 
де 
3. 
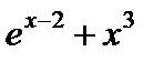
де а=5; у=3; 
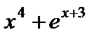
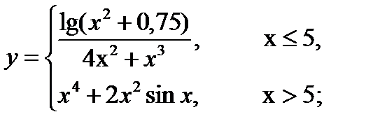
4. 
де 
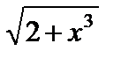
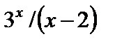
5.
де 
6.
де 
7. 
де 
8.
де 
9. 
де 
10. 
де 
11. 
де 
12.

13. 
де 
14.
де 
15.
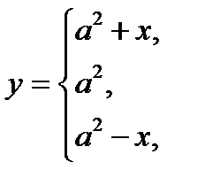
де 
x і a змінюються одночасно.
|
|
|
16.
де 
а — має початкове значення 0.1 і змінюється одночасно з x з кроком
. Підказка: використовується один цикл.
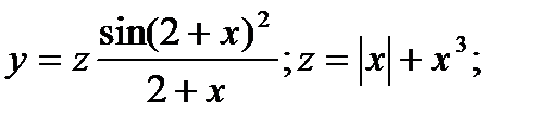
17. Обчислити функцію двох перемінних
де

18. Обчислити функцію: 
де

При якому значенні х функція буде найменшою?
19. Підрахувати скількох разів функція
приймає негативне значення, якщо
.
20. Увести координати 10 крапок на площині і визначити, у якій із чвертей координатної площини знаходиться більше всього крапок.
21. Увести п'ять наборів сторін трикутника а, b, c і визначити для яких сторін висота
буде найбільшою. Підказка:
де 
22. Увести координати п'яти крапок і визначити, яка з них потрапить в окружність з радіусом R і координатами центра (а, b). Підказка: рівняння окружності має вид: 
23.
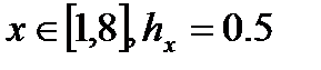
де x Î [ -10; 10], hx =2
24. Підрахувати скількох разів функція
приймає негативне значення, якщо
.
25. Обчислити функцію у виді формули
.






