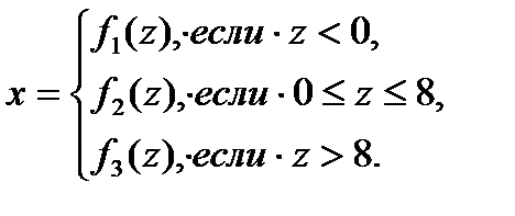
Задание 2.1. Скласти алгоритм для обчислення значень функції y=f(x), де
z = cos c 
Таблица 3 – Вихідні данні для завдання 2.1.
| № | | | | | с |
| | | | 5,1 | |
| | | | 5,4 | |
| | | | 4,1 | |
| | | | 3,2 | |
| | | | 4,7 | |
| | | | 1,3 | |
| | | | 1,6 | |
| | | | 1,5 | |
| | | | 2,7 | |
| | | | 3,8 | |
| | | | 1,6 | |
| | | | 2,4 | |
| | | | 4,1 | |
| | | | 2,5 | |
| | | | 3,2 | |
| | | | 1,4 | |
| | | | 2,3 | |
| | | | 4,1 | |
| | | | 3,2 | |
| | | | 2,8 | |
| | | | 1,7 | |
| | | | 2,2 | |
| | | | 5,6 | |
| | | | 3,4 | |
| | | | 2,5 |
Завдання 2.2. Скласти алгоритм з разгалуженням для розв’язання задачі
1. Дані три дійсні числа. Звести в квадрат ті з них, значення яких ненегативні, і в четверту ступінь - негативні
2. Дано дві точки А і В. Визначити, яка з точок знаходиться ближче до початку координат.
3. Дано два кути трикутника (у градусах). Визначити, чи існує такий трикутник.
4. Дано три кути трикутника (у градусах). Визначити, чи є трикутник прямокутним
5. На площині XOY задана своїми координатами точка А. Визначити її розташування: в якій чверті.
6. На площині XOY задана своїми координатами точка А. Визначити її розташування: на якій осі.
|
|
|
7. Дано дійсні числа х і у, не рівні один одному. Менша з них замінити половиною їх сум, а більшу - подвоєним твором.
8. Дано цілі числа m і n. Якщо числа не рівні, то замінити кожне з них одним і тим же числом, рівним більшому із вихідних, а якщо рівні, то замінити нулем.
9. Дано тризначне число N. Перевірити, чи буде сума його цифр парних числом.
10. Визначити, чи рівний квадрат заданого тризначного числа кубу суми цифр цього числа.
11. Визначити, чи є ціле число N парних двозначним числом.
12. Визначити, чи є трикутник зі сторонами a, b, c рівностороннім.
13. Визначити, чи є трикутник зі сторонами a, b, c рівнобедреним.
14. Визначити, чи є трикутник зі сторонами a, b, c різнобічним.
15. Визначити, чи є серед чисел a, b, c хоча б одна пара взаємно протилежних чисел.
16. Визначити, чи є серед чисел a, b, c хоча б одна пара взаємно простих чисел.
17. Підрахувати кількість негативних чисел серед чисел a, b, c.
18. Підрахувати кількість позитивних чисел серед чисел a, b, c.
19. Підрахувати кількість цілих чисел серед чисел a, b, c.
20. Підрахувати кількість дійсних чисел серед чисел a, b, c.
21. Визначити, дільником яких чисел a, b, c є число k.
22. Визначити, дільником яких чисел a, b, c не є число k.
23. Послуги телефонної мережі оплачуються за наступним правилом: за розмови до А хвилин в місяць оплачуються В грн., А розмови понад встановлену норму оплачуються з розрахунку З грн. У хвилину. Написати програму, яка обчислює плату за користування телефоном для введеного часу розмов за місяць.
24. Дано три сторони одного і три сторони іншого трикутника. Визначити, чи будуть ці трикутники рівновеликі, тобто чи мають вони рівні площі.
|
|
|
25. Дано три сторони одного і три сторони іншого трикутника. Визначити, чи будуть ці трикутники подібні, якщо так, то знайти коефіцієнт подібності.
Завдання 2.3. Скласти блок-схему з перемикачем для розв’язання задачі:
1. За номером дня тижня (натуральному числу від 1 до 7) вивести в якості результату кількість уроків у Вашій групі в цей день
2. По останній цифрі числа визначити останню цифру його квадрата.
3. За заданими роком і номером місяця визначити кількість днів у цьому місяці.
4. Для кожної введеної цифри (0 - 9) вивести відповідну їй назву (0 - нуль, 1 - один,...)
5. Скласти програму, яка за даним числом (1 - 12) виводить назву відповідного йому місяця.
6. Отримати словесний опис шкільних відміток (1 - погано, 2 - незадовільно, 3 - задовільно, 4 - добре, 5 - відмінно)
7. Нехай елементами кола є радіус (1), діаметр (2) і довжина кола (3). За номером елемента запросити його значення і обчислити площу круга
8. Нехай елементами прямокутного рівнобедреного трикутника є: 1) катет а; 2) гіпотенуза b; 3) висота, опущена з вершини кута на гіпотенузу h; 4) площа S. По заданому номеру та значенню відповідного елемента обчислити значення всіх інших елементів трикутника.
9. За номером місяця видати на назву наступного за ним місяця.
10. По введеному номеру пори року (1 - зима, 2 - весна, 3 - літо, 4 - осінь) вивести відповідні цій порі року місяці і кількість днів у кожному з місяців.
11. Для цілого числа k від 1 до 99 надрукувати «Мені k років», враховуючи при цьому, що при деяких значеннях k слово «років» треба замінити на слово «рік» або «роки».
12. По введеному номеру одиниці виміру (1 - міліметр, 2 - сантиметр, 3 - метр, 4 - дециметр, 5 - кілометр) і довжині відрізка L вивести на екран відповідне значення довжини відрізка в метрах.
13. По введеному числу від 1 до 11 (номером класу) вивести на екран повідомлення «Привіт, А-класник!».
14. За даним натуральному числу від 1 до 12 (номеру місяця) вивести на екран всі припадають на цей місяць свята.
15. Дано натуральне число N. Якщо воно ділиться на 4, вивести на екран відповідь N = 4k (де k - відповідне приватне), якщо залишок від ділення на 4 дорівнює 1 - N = 4k + 1, якщо залишок від ділення на 4 дорівнює 2 - N = 4k + 2, якщо залишок від ділення на 4 дорівнює 3 - N = 4k + 3.
16. Є пронумерований список деталей: 1) шуруп; 2) гайка; 3) цвях; 3) гвинт; 5) болт. За номером деталі вивести на екран її назву.
17. За останній цифрі даного числа визначити останню цифру куба цього числа.
18. Для будь-якого натурального числа надрукувати кількість цифр у записі цього числа.
19. Дано два дійсних позитивних числа х і у. Арифметичні дії пронумеровані (1 - додавання, 2 - віднімання, 3 - множення, 4 - поділ). По введеному номеру виконати ту чи іншу дію над числами.
20. По введеному номеру одиниці виміру (1 - міліграм, 2 - грам, 3 - кілограм, 4 - центнер, 5 - тонна) і масі М вивести на екран відповідне йому значення маси в кілограмах.
21. Нехай елементами рівностороннього трикутника є: 1) сторона а, 2) площа S, 3) висота h, 4) радіус вписаного кола r, 5) радіус описаного кола R. По заданому номеру та значенню відповідного елемента обчислити значення всіх інших елементів трикутника.
22. Скласти програму для визначення відповідного віку кандидатури для вступу в шлюб, використовуючи наступне міркування: вік дівчини дорівнює половині віку чоловіка плюс 7, вік чоловіка визначається відповідно як подвоєний вік дівчини мінус 14.
23. По заданому дійсному числу і номером тригонометричної функції 1) sin, 2) cos, 3) tg, 4) ctg, підрахувати і вивести на екран значення функції для цього дійсного числа.
24. По заданому натуральному числу від 1 до 12 вивести на екран відповідне йому назву зодіакального сузір'я.
25. По заданому номеру (натуральному числу) вивести на екран відповідне йому назву хімічного елемента в таблиці Менделєєва.
|
|
|






