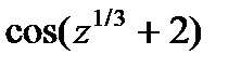
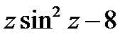
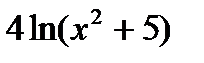
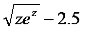
Завдання 7.1. Скласти алгоритм та програму для обчислення значень функції y=f(x), де
z = cos c 
Таблиця 13 – Вихідні дані до завдання 7.1.
| № |
|
|
|
| с |
|
|
|
| 5,1 | |
|
|
|
| 5,4 | |
|
|
|
| 4,1 | |
|
|
|
| 3,2 | |
|
|
|
| 4,7 | |
|
|
|
| 1,3 | |
|
|
|
| 1,6 | |
|
|
|
| 1,5 | |
|
|
|
| 2,7 | |
|
|
|
| 3,8 | |
|
|
|
| 1,6 | |
|
|
|
| 2,4 | |
|
|
|
| 4,1 | |
|
|
|
| 2,5 | |
|
|
|
| 3,2 | |
|
|
|
| 1,4 | |
|
|
|
| 2,3 | |
|
|
|
| 4,1 | |
|
|
|
| 3,2 | |
|
|
|
| 2,8 | |
|
|
|
| 1,7 | |
|
|
|
| 2,2 | |
|
|
|
| 5,6 | |
|
|
|
| 3,4 | |
|
|
|
| 2,5 | |
|
|
|
| 3,7 | |
|
|
|
| 2,6 | |
|
|
|
| 3,8 | |
|
|
|
| 5,8 | |
|
|
|
| 3,5 |
Завдання 7.2. Скласти програму для розв’язання поданої задачі за допомогою оператора вибору.
1. Написати програму, яка за номером дня тижня (натуральному числу від 1 до 7) видає в якості результату кількість уроків у Вашій групі в цей день
2. Написати програму, що дозволяє по останній цифрі числа визначити останню цифру його квадрата.
3. Скласти програму, яка за заданими році і номеру місяця визначає кількість днів у цьому місяці.
4. Для кожної введеної цифри (0 - 9) вивести відповідне їй назву (0 - нуль, 1 - один,...)
5. Скласти програму, яка за даним числі (1 - 12) виводить назву відповідного йому місяці.
6. Отримати словесний опис шкільних відміток (1 - погано, 2 - незадовільно, 3 - задовільно, 4 - добре, 5 - відмінно)
7. Нехай елементами кола є радіус (1), діаметр (2) і довжина кола (3). За номером елемента запросити його значення і обчислити площу круга
8. Нехай елементами прямокутного рівнобедреного трикутника є: 1) катет а; 2) гіпотенуза b; 3) висота, опущена з вершини кута на гіпотенузу h; 4) площа S. По заданому номеру та значенню відповідного елемента обчислити значення всіх інших елементів трикутника.
8. За номером місяці видати на екран назву наступного за ним місяця.
9. По введеному номеру пори року (1 - зима, 2 - весна, 3 - літо, 4 - осінь) вивести на екран відповідні цій порі року місяці і кількість днів у кожному з місяців.
10. Для цілого числа k від 1 до 99 надрукувати «Мені k років», враховуючи при цьому, що при деяких значеннях k слово «років» треба замінити на слово «рік» або «роки».
11. По введеному номеру одиниці виміру (1 - міліметр, 2 - сантиметр, 3 - метр, 4 - дециметр, 5 - кілометр) і довжині відрізка L вивести на екран відповідне значення довжини відрізка в метрах.
12. По введеному числу від 1 до 11 (номером класу) вивести на екран повідомлення «Привіт, А-класник!».
13. За даним натуральному числу від 1 до 12 (номеру місяця) вивести на екран всі припадають на цей місяць свята.
14. Дано натуральне число N. Якщо воно ділиться на 4, вивести на екран відповідь N = 4k (де k - відповідне приватне), якщо залишок від ділення на 4 дорівнює 1 - N = 4k + 1, якщо залишок від ділення на 4 дорівнює 2 - N = 4k + 2, якщо залишок від ділення на 4 дорівнює 3 - N = 4k + 3.
15. Є пронумерований список деталей: 1) шуруп; 2) гайка; 3) цвях; 3) гвинт; 5) болт. За номером деталі вивести на екран її назву.
16. За останній цифрі даного числа визначити останню цифру куба цього числа.
17. Для будь-якого натурального числа надрукувати кількість цифр у записі цього числа.
18. Дано два дійсних позитивних числа х і у. Арифметичні дії пронумеровані (1 - додавання, 2 - віднімання, 3 - множення, 4 - поділ). По введеному номеру виконати ту чи іншу дію над числами.
19. По введеному номеру одиниці виміру (1 - міліграм, 2 - грам, 3 - кілограм, 4 - центнер, 5 - тонна) і масі М вивести на екран відповідне йому значення маси в кілограмах.
20. Нехай елементами рівностороннього трикутника є: 1) сторона а, 2) площа S, 3) висота h, 4) радіус вписаного кола r, 5) радіус описаного кола R. По заданому номеру та значенню відповідного елемента обчислити значення всіх інших елементів трикутника.
21. Скласти програму для визначення відповідного віку кандидатури для вступу в шлюб, використовуючи наступне міркування: вік дівчини дорівнює половині віку чоловіка плюс 7, вік чоловіка визначається відповідно як подвоєний вік дівчини мінус 14.
22. По заданому дійсному числу і номером тригонометричної функції 1) sin, 2) cos, 3) tg, 4) ctg, підрахувати і вивести на екран значення функції для цього дійсного числа.
23. По заданому натуральному числу від 1 до 12 вивести на екран відповідне йому назву зодіакального сузір'я.
24. По заданому номеру (натуральному числу) вивести на екран відповідне йому назву хімічного елемента в таблиці Менделєєва.
25. По заданому дійсному числу і номером функції 1) ln, 2) e, 3), 4), підрахувати і вивести на екран значення функції для цього дійсного числа.






