Таблиця 12 – Вихідні дані для завдань 6.1, 6.2, 6.3
| № | Задача 1 | Задача 2 | Задача 3 |
1) n+++m 2) m-- >n 3) n-- >m 4) | | а=1000, b=0.0001 | |
1) ++n*++m 2) m++<n 3) n++>m 4) | | а=1000, b=0.0001 | |
1) m--n 2) m++<n 3) n++>m 4) | | а=100, b=0.001 | |
1) n++*m 2) n++<m 3) --m>n 4) | | а=100, b=0.001 | |
1) --m-n++ 2) m*m<n++ 3) n-->++m 4) | | а=100, b=0.001 | |
1) m-++n 2) m++>--n 3) m--<++n 4) | | а=100, b=0.001 | |
1) m+--n 2) m++<--n 3) --m>n— 4) | | а=100, b=0.001 a) Y= + ctg(arctg (x )) | |
1) n/m++ 2)m++<--n 3) (m/n)++<n/m 4) | | а=100, b=0.001 | |
1) m++/n— 2) ++m<n-- 3) n-->m 4) | | а=100, b=0.001 | |
1) m/--n++ 2) m/n<n— 3)m+n++>n+m 4) | | а=100, b=0.001 | |
1) n+++m-- 2) n*m<n++ 3) n-->++m 4) | | а=10, b=0.01 | |
1) n++*m 2) m--<n 3)++m>n 4) | | а=10, b=0.01 | |
1) (n++/--m)++ 2) ++m<n— 3)--m>++n 4) | | а=10, b=0.01 | |
1) n++*--m 2) n--<m++ 3) --n>--m 4) | | а=10, b=0.01 | |
1) n++/--m 2)n-->n/m++ 3)m<n++ 4) | | а=10, b=0.01 | |
1) m/--n++ 2) m/n<n— 3)m+n++>n+m 4) | | а=10, b=0.01 | |
1) n+++m-- 2) n*m<n++ 3) n-->++m 4) | | а=10, b=0.01 | |
1) n++*m 2) m--<n 3)++m>n 4) | | а=10, b=0.01 | |
1) (n++/--m)++ 2) ++m<n— 3)--m>++n 4) | | а=1000, b=0.0001 | |
1) n++*--m 2) n--<m++ 3) --n>--m 4) | | а=1000, b=0.0001 | |
1) n++/--m 2) n-->n/m++ 3) m<n++ 4) | | а=100, b=0.001 | |
1) n++*m 2) n++<m 3) --m>n 4) | | а=100, b=0.001 | |
1) --m-n++ 2) m*m<n++ 3) n-->++m 4) | | а=100, b=0.001 | |
1) m-++n 2) m++>--n 3) m--<++n 4) | | а=100, b=0.001 | |
1) m+--n 2) m++<--n 3) --m>n— 4) | | а=100, b=0.001 |
Методичні вказівки
|
|
|
1. Для введення і виведення даних використовувати операції >> і << і стандартні потоки cin, cout.
а=1000, b=0.0001
а=1000, b=0.0001
а=100, b=0.001
а=100, b=0.001
а=100, b=0.001
а=100, b=0.001
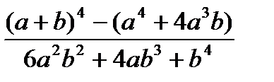
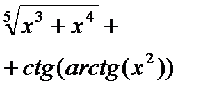
а=100, b=0.001 a) Y=
+ ctg(arctg (x
))
а=100, b=0.001
а=100, b=0.001
а=100, b=0.001
а=10, b=0.01
а=10, b=0.01
а=10, b=0.01
а=10, b=0.01
а=10, b=0.01
а=10, b=0.01
а=10, b=0.01
а=10, b=0.01






