Завдання 9.1. Написати функцію, яка обчислює значення виразу, та визначити її значення для введених користувачем значень фактичних параметрів.
При цьому знайти область визначення функцій та забезпечити необхідну реакцію програми на некоректні ситуації.
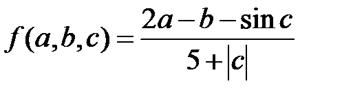
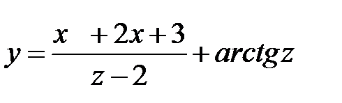
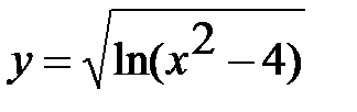
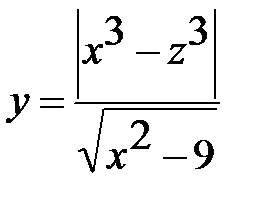
1)
; 13)
;
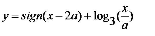
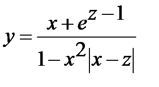
2)
; 14)
;
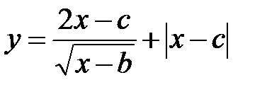
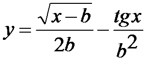
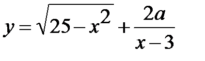
3)
; 15)
;
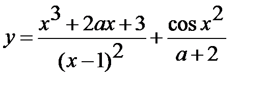
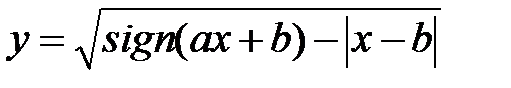
4)
; 16)
;
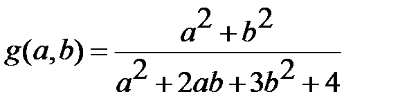
5)
; 17)
;
6)
; 18)
;
7)
; 19)
;
8)
; 20)
;
9)
; 21)
;
10)
; 22)
;
11)
; 23)
;
12)
; 24)
;
25)
.
Завдання 9.2
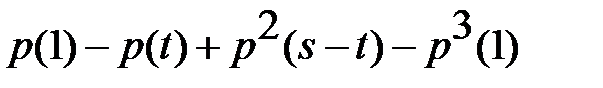
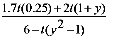
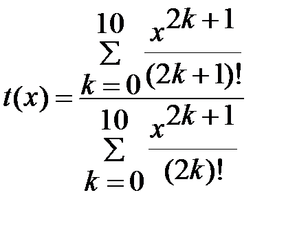
1) Дано дійсні числа s, t. Отримати
.
.
2) Дано дійсні числа s, t. Отримати
.
.
3) Дано дійсне число y. Отримати
, де
.
4) Дано дійсні числа s, t. Отримати
,
де
.
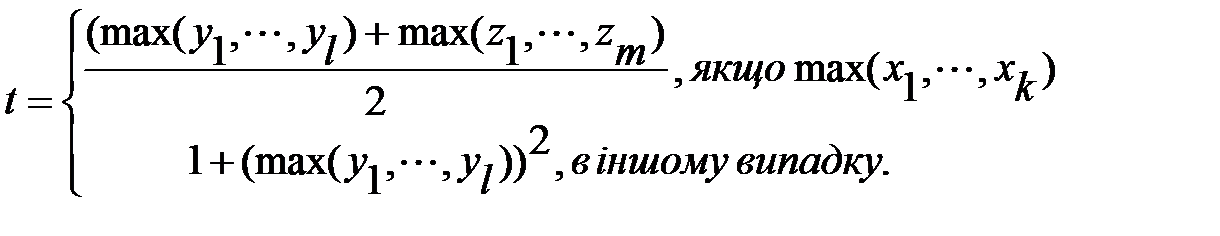
5) Дано натуральні числа k,l, m та дійсні числа
.
Отримати 
6) Дано дійсні числа
. У послідовності
та у послідовності
всі члени, розташовані за членом з найбільшим значенням (за першим, якщо їх декілька), замініть на 0.5.
7) Дано цілі числа
,
. Якщо у послідовності
немає ні одного члена зі значенням
, то перший за порядком член цієї послідовності, що є найменшим серед решти членів, замініть на значення
. За таким правилом треба зробити перетворення послідовності
зі значенням 10.
|
|
|
8) Дано дійсні числа
. Знайти периметр десятикутника, вершини якого мають відповідно координати
. Визначити функцію обчислення відстані між двома точками, що задані своїми координатами.
9) Скласти функцію, що замінює у початковому рядку символів всі одиниці на нулі та всі нулі — одиницями. Заміна повинна виконуватись з заданої позиції рядку.
10) Визначити функцію повного скорочення раціонального числа, яке задано чисельником та замінником, а також процедури складання та множення раціональних чисел.
11) Дано натуральне число
. Серед чисел
знайти всі ті, які можна представити у вигляді суми квадратів двох натуральних чисел. Визначити функцію, що дозволяє розпізнати повні квадрати.
12) Дано натуральне число
, дійсні числа
. Знайти площу
-кутника, вершини якого при деякому послідовному обході мають координати
. Визначити функцію обчислення площі трикутника по координатах його вершин.
13) Дано парне число
; перевірити для цього гіпотезу Гольбаха. Ця гіпотеза (на сьогоднішній день не спростована та повністю не доведена) полягає в тому, що кожне парне число
, що більше 2, можна представити у вигляді суми двох простих чисел. Визначити функцію, що дозволяє розпізнавати прості числа.
14) Дано натуральне число
. З'ясуйте, чи знаходяться серед чисел
близнюки — прості числа, різниця яких дорівнює 2. Визначити функцію, що дозволяє розпізнавати прості числа.
15) Дано дійсні числа
. Отримати для
значення
, де
.
16) Дано дійсні числа
. Отримати
, де
.
17) Дано натуральне число
, цілі числа
. Розглянути відрізки послідовності
(послідовності членів, що йдуть поруч), що складаються з повних квадратів. Отримати найбільшу з довжин цих відрізків. Визначити функцію, що дозволяє розпізнавати повні квадрати.
|
|
|
18) Дано натуральне число
, цілі числа
. Розглянути відрізки послідовності
(послідовності членів, що йдуть поруч), що складаються із ступенів п'ятірки. Отримати найбільшу з довжин цих відрізків. Визначити функцію, що дозволяє розпізнавати ступені п'ятірки.
19) Дано натуральне число
, цілі числа
. Розглянути відрізки послідовності
(послідовності членів, що йдуть поруч), що складаються з простих чисел. Отримати найбільшу з довжин цих відрізків. Визначити функцію, що дозволяє розпізнавати прості числа.
20) Дано натуральне число
, цілі числа
. Розглянути відрізки послідовності
(послідовності членів, що йдуть поруч), що складаються із досконалих чисел. Отримати найбільшу з довжин цих відрізків. (Натуральне число називається доскональним, якщо воно дорівнює сумі своїх дільників, за винятком самого себе. Наприклад, 6=1+2+3.) Визначити функцію, що дозволяє розпізнавати досконалі числа.
21) Скласти функцію, що дозволяє визначити позицію першого входження в заданий рядок деякого символу з другого заданого рядка. Результатом роботи функції повинна бути -1, якщо перший рядок не містить в собі жодного символу, що належить до другого рядка.
22) Дано дійсні числа
. Отримати
, де
— комплексні числа
,
,
. Визначити функції виконання арифметичних операцій над комплексними числами.






