Факторы производства
Труд как фактор производства
Доходы факторов производства
Заработная плата
Доходы от собственности
Доходы от собственности на капитал
Дивиденды
Проценты по займам
Доходы от собственности на землю и недра
Предпринимательский доход
Смешанный доход
Теневая экономика
Технологическая эффективность
Экономическая эффективность производства
Производственная функция
Предельная доходность фактора производства
Предельный доход предприятия
Предельный продукт труда
Предельная доходность труда
Взаимозаменяемость труда и капитала
Номинальная заработная плата
Реальная заработная плата
Человеческий капитал
Вопросы для самопроверки
1. Объясните, как вы понимаете выражение: «Доходы — это плата за экономические ресурсы».
2. Что такое общая величина доходов факторов производства и как она связана с понятием национального дохода?
3. Охарактеризуйте основные виды доходов от экономических ресурсов: заработную плату, доходы от собственности на капитал, землю (природные ресурсы), предпринимательский доход, а также процент на предоставляемые денежные средства.
|
|
|
4. Каким образом на основе производственной функции принимаются решения об объемах выпуска продукции, способах производства, количестве используемых ресурсов, и в частности трудовых ресурсов.
5. Объясните, почему предельная доходность труда лежит в основе спроса предприятий на труд.
6. Объясните взаимосвязь производительности труда, его капиталовооруженности, взаимозаменяемости труда и капитала и влияние этой взаимосвязи на уровень оплаты труда.
7. Сформулируйте общие тенденции спроса на рабочую силу, ее предложения и уровня оплаты труда.
Глава 4. Уровень и качество жизни: понятия, индикаторы, современное состояние в России
4.1. Понятия и система индикаторов уровня и качества жизни
Уровень и качество жизни
Повышение уровня и качества жизни является социально приоритетной целью политики доходов и заработной платы. Средством достижения этой цели выступают рост ВВП и совершенствование механизма его распределения на макро- и микроуровнях.
Повышение уровня и качества жизни — результат экономического роста и его условие. Для современного производства требуются не только принципиально новая техника и технология, но и высококвалифицированные работники, собственники человеческого капитала. Они составляют основу среднего класса. У таких людей сложнее структура материальных, духовных и социальных потребностей, больше тратится средств на восстановление жизненной энергии, на образование и профессиональную подготовку. Уровень и качество жизни у них должны быть гораздо выше, чем у людей, просто обеспечивающих свое выживание.
|
|
|
Уровень жизни характеризует развитие и степень удовлетворения материальных, духовных и социальных потребностей людей. Иными словами, это структура потребностей и их обеспечение соответствующими товарами и услугами.
Потребности людей разнообразны. Потребность — это необходимость в жизненных средствах, принявшая специфическую форму в соответствии с культурным уровнем и личностными качествами индивида. В связи с этим различен набор потребностей каждого человека. Для определения степени удовлетворения потребностей фактическое потребление товаров и услуг соотносят с минимальными и рациональными стандартами их потребления.
Рост уровня жизни создает возможности для улучшения качества жизни, его материальную базу. Но условия, необходимые для улучшения качества жизни, не ограничиваются уровнем потребления товаров и услуг. Качество жизни включает также социальные результаты экономического и политического развития — среднюю продолжительность жизни, уровень заболеваемости, условия и охрану труда, доступность информации, обеспечение прав человека и т.д.
В рыночной экономике важнейшими составляющими качества жизни становятся степень социальной защищенности населения, свобода выбора человека, улучшение социальной среды, культурные, национальные и религиозные отношения.
Для характеристики уровня и качества жизни используется система индикаторов. Она включает интегральные и частные, натуральные и стоимостные индикаторы. Структура индикаторов укрупненно представлена на схеме.
Структура индикаторов уровня и качества жизни
| Уровень жизни | Качество жизни | |
| Индикаторы | ||
| Интегральные | Частные | |
| Натуральные | Стоимостные |
Индикаторы уровня жизни
Для разработки и решения текущих и стратегических задач политики доходов и заработной платы необходимо иметь информацию о состоянии, динамике, тенденциях уровня жизни, рассчитывать их по регионам, по социально-демографическим группам населения, осуществлять международные сопоставления.
Интегральными индикаторами уровня жизни являются: реальные доходы на душу населения, реальная заработная плата, поступления доходов от вторичной занятости, от реализации продукции личного подсобного хозяйства, дивидендов (по акциям и облигациям), процентов по вкладам населения, пенсий, пособий, стипендий. С помощью этих индикаторов изучаются и прогнозируются уровень, динамика и структура доходов из различных источников. Реальные доходы населения Д ропределяются посредством деления общей суммы денежных доходов на индекс потребительских цен:

где Д Д — общая сумма денежных доходов населения;
I — индекс потребительских цен.
Различаются реальные доходы населения без учета услуг и с учетом услуг.
Реальные доходы без учета услуг — часть ВВП, используемая населением для удовлетворения материальных и культурных потребностей.
Реальные доходы с учетом услуг — часть ВВП, используемая населением на потребление и накопление материальных благ и услуг.
Для характеристики роста (снижения) реальных доходов исчисляются индексы реальных доходов всего населения, а также индексы реальных доходов в разрезе социальных групп. При исчислении индексов реальных доходов должна быть обеспечена сопоставимость цен; для этого при расчетах учитывается изменение цен за сравнимый период — индекс потребительских цен.
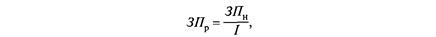
Реальная заработная плата работников — составная часть реальных доходов (с учетом услуг). Она определяется путем деления номинальной (начисленной) заработной платы на индекс потребительских цен на товары и услуги:
|
|
|

где ЗП р — реальная заработная плата,
ЗП Н — номинальная заработная плата;
I — индекс потребительских цен.
В политике доходов и заработной платы важное место занимают также индикаторы, характеризующие их дифференциацию.
Дифференциация доходов и заработной платы позволяет оценить происходящие социальные изменения, уровень социальной напряженности и определить характер политики доходов и заработной платы.
Индикаторами дифференциации доходов и заработной платы являются:
распределение населения по уровню среднедушевых доходов — показатель удельного веса или процента населения в тех или иных заданных интервалах среднедушевых денежных доходов;
распределение общего объема денежных доходов по различным группам населения — показатель (в процентах) доли общего объема денежных доходов, которой обладает каждая из 20%-ных (10%-ных) групп населения;
децильный коэффициент дифференциации доходов — соотношение среднедушевых денежных доходов, выше и ниже которых находятся десятые доли наиболее и наименее обеспеченного населения;
коэффициент дифференциации доходов населения по субъектам Федерации — соотношение наибольшего и наименьшего уровня средне-душевых доходов в субъектах Федерации;
коэффициент дифференциации заработной платы — соотношение наибольшего и наименьшего уровней заработной платы между отраслями, регионами, профессиями, внутри отраслей и предприятий и т.д.
Одними из наиболее распространенных индикаторов дифференциации доходов являются также коэффициент концентрации доходов (индекс Джини) и кривая Лоренца, позволяющие судить о степени удаления от состояния равенства в распределении доходов. Расчет индекса Джини связан с кривой Лоренца.
График неравенства доходов (кривая Лоренца) изображен на рис. 4.1.

Прямая линия ОА называется линией абсолютного равенства распределения доходов. Она отражает ситуацию, когда 20% людей принадлежат 20% доходов, 40% людей — 40% доходов и т.д. Кривая ОВ показывает долевое распределение доходов по группам семей в действительности.
|
|
|
Усиление неравенства в распределении доходов выражается в изменении конфигурации кривой Лоренца в сторону увеличения ее вогнутости по отношению к линии абсолютного равенства.
Коэффициент концентрации доходов (индекс Джини) представляет собой величину отклонения фактического распределения доходов населения от линии их равномерного распределения. Он определяется отношением площади фигуры, образованной кривой Лоренца и линией абсолютного равенства, к площади всего треугольника ОАС. Величина коэффициента может варьировать от нуля до единицы или от нуля до 100%. При этом чем выше значение показателя, тем более неравномерно распределены доходы в обществе.
Для определения общего направления изменений в распределении доходов используется коэффициент направленности процесса стратификации населения — отношение численности населения с доходами ниже прожиточного минимума к численности населения с доходами выше бюджета высокого достатка в расчете на 1 тыс. человек. Динамика коэффициента стратификации характеризует нарастание или снижение поляризации общества.
В России на долю 20% наименее обеспеченных приходится 6% доходов, а на долю 20% наиболее обеспеченных — 47%. Это соотношение близко к среднему по странам. Аналогично распределены доходы, например, в Великобритании, Эстонии, Киргизии. Более низкое соотношение доли доходов 20% наиболее и наименее обеспеченных людей — в Словакии (12% к 31%), Чехии (10% к 37%), Венгрии (9% к 37%). В ряде развивающихся стран это соотношение намного выше — в ЮАР (3% к 63%), Чили (3% к 61%), Мексике (4% к 51%).
Коэффициент Джини в России составляет 38%, что также находится на среднем уровне. Это ниже, чем в ЮАР (58%), Чили (56%) и Мексике (50%), но выше, чем в Венгрии (17%), Словакии (19%), Чехии (26%), Польше (27%).
К частным индикаторам уровня жизни относятся показатели потребления отдельных товаров и услуг — надушу населения, семью, по социальным группам, регионам, — показатели обеспеченности товарами длительного пользования, жильем, коммунально-бытовыми удобствами. Среди них выделяются натуральные и стоимостные индикаторы.
Натуральные индикаторы непосредственно характеризуют уровень потребления, обеспеченности теми или иными благами. Для того чтобы получить представление об уровне удовлетворения конкретной потребности, может быть использовано несколько показателей. Например, для того чтобы охарактеризовать уровень удовлетворения потребностей в продуктах питания, необходимы данные о количестве потребляемых человеком продуктах и их калорийности, их сопоставление с научно обоснованными нормами.
При этом потребление основных продуктов питания на душу населения определяется с учетом потребления как произведенных в стране, так и импортированных продуктов независимо от вида потребления и способа продажи продуктов населению.
Уровень удовлетворения потребностей в услугах школьного образования характеризуется с помощью данных о доле детей школьного возраста, посещающих школы, численности учащихся в платных и бесплатных школах и обучающихся за границей. Важно учитывать также техническое состояние и благоустройство учебных заведений, уровень образования преподавательского состава.
Стоимостные индикаторы отражают затраты на удовлетворение конкретных потребностей и их динамику. Эти индикаторы группируются по видам потребностей, например затраты на питание, оплату жилья, коммунальных услуг, одежду, предметы длительного пользования, отдых, удовлетворение культурных потребностей и т.д.
Общее потребление материальных благ и услуг в стоимостном выражении включает все расходы на приобретение товаров и услуг и денежную оценку потребленных благ собственного производства, например продукции личного подсобного хозяйства. Расчет этого показателя позволяет рассматривать уровень и структуру потребления во взаимосвязи с совокупными доходами населения и дает достаточно полную характеристику удовлетворения его личных потребностей.
Индикаторы качества жизни
К интегральным, обобщающим, индикаторам качества жизни относятся индекс развития человеческого потенциала (индекс человеческого развития), индекс интеллектуального потенциала общества, человеческий капитал на душу населения, коэффициент жизнеспособности населения.
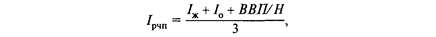
Важнейшим индикатором является индекс развития человеческого потенциала. Он представляет собой среднеарифметическое трех индексов — ожидаемой средней продолжительности жизни, уровня образования и ВВП на душу населения (в долларах, по паритету покупательной способности):

где I ж — индекс ожидаемой средней продолжительности жизни;
I о — индекс уровня образования;
ВВП/Н — валовой внутренний продукт на душу населения.
Он варьируется от 0,252 в Эфиопии до 0,960 в Канаде.
В 90-е гг. значение индекса развития человеческого потенциала в России уменьшилось (с 0,85 до 0,77). При этом в наибольшей мере сократились индексы ВВП на душу населения и ожидаемой средней продолжительности жизни. Близкие к российскому значения этого индекса характерны для некоторых постсоциалистических стран — Белоруссии, Болгарии, Румынии, Литвы. Более высокое значение отмечается в развитых странах — Германии, Нидерландах, Швеции, Финляндии, Японии (свыше 0,9). За ними идут Венгрия, Польша, Словакия, Чехия, Аргентина, Мексика, Чили — свыше 0,8.
Важным индикатором качества жизни является также индекс интеллектуального потенциала общества. Интеллектуальный потенциал общества отражает уровень образования населения и состояния науки в стране. При расчете индекса интеллектуального потенциала учитываются уровень образования взрослого населения, удельный вес студентов в общей численности населения, доля расходов на образование в ВВП, удельный вес занятых в науке и научном обслуживании в общей численности занятых, удельный вес затрат на науку в ВВП.
За период рыночных реформ в России индекс интеллектуального потенциала общества снизился почти наполовину. Это произошло в результате сокращения расходов на науку, снижения образовательного уровня молодого поколения. Эта тенденция сохранится в ближайшие годы. Прогнозируется, что в 2002 г. индекс интеллектуального потенциала составит 0,37.
Индикатором качества жизни является также человеческий капитал на душу населения Он отражает уровень затрат государства, предприятий и граждан на образование, здравоохранение и другие отрасли социальной сферы в расчете на душу населения. Чем выше уровень экономического развития страны, тем больше уровень человеческого капитала и его удельный вес в структуре всего капитала. Человеческий капитал даже в бедных странах превосходит воспроизводимый, включающий материально-вещественные условия производства.
К индикаторам качества жизни относится и коэффициент жизнеспособности населения. Он характеризует возможности сохранения генофонда, интеллектуального развития населения в условиях проведения социально-экономической политики, осуществляемой в момент обследования в стране. Этот коэффициент измеряется по пятибалльной шкале. По результатам исследования ЮНЕСКО и ВОЗ (Всемирной организации здравоохранения) в 1995 г. коэффициент жизнеспособности населения России был определен в 1,4 балла. Балл ниже 1,5 означает кризисное положение, падение уровня и качества жизни до той черты, за которой начинается вымирание населения.
Коэффициент жизнеспособности населения по разным группам стран имел следующее значение:
5 баллов — не имеет ни одна страна в мире;
4 балла — Швеция, Голландия, Бельгия, Дания;
3 балла — США, Япония, Германия, о. Тайвань, Сингапур, Южная Корея и др.;
2 балла — Китай, Иран, Бразилия, Аргентина, Монголия, Турция, Вьетнам и др.;
1,6 балла — Сомали, Гаити, Бирма (с 1989 г. Мьянма);
1,5 балла — Босния, Западная Сахара.
Частные индикаторы характеризуют отдельные стороны качества жизни. К ним относятся следующие:
социально-демографические — продолжительность жизни, динамика заболеваемости, рождаемости, смертности;
экономической активности населения — уровень безработицы, миграция населения и ее причины;
социальной напряженности — участие в политических мероприятиях, забастовках, доля теневой экономики в ВВП, динамика преступности;
развития социальной сферы— доля расходов на образование, науку, здравоохранение и культуру в ВВП, число учащихся и студентов, в том числе обучающихся бесплатно и платно, среднее число учащихся на одного преподавателя;
экологические — содержание вредных веществ в атмосфере, почве, воде, продуктах питания, доля затрат на экологию в ВВП, инвестиции в основной капитал, направленные на охрану окружающей среды и рациональное использование природных ресурсов.
Эти индикаторы могут быть использованы для анализа уровня и качества жизни в России.
4.2. Современное состояние уровня и качества жизни в России
Снижение уровня и качества жизни
За период рыночных реформ уровень и качество жизни в России значительно снизились. Индекс развития человеческого потенциала снизился с 0,848 в 1992 г до 0,7 в 1996 г. По этому показателю Россия перешла в группу развивающихся стран. Резко ухудшились частные показатели качества жизни — рождаемость, смертность, продолжительность жизни, заболеваемость, возросло число зарегистрированных преступлений. Ухудшились многие формы социального обеспечения, состояние окружающей среды — атмосферы, воды, почвы.
О снижении уровня жизни свидетельствует тот факт, что в структуре расходов населения повысился удельный вес расходов на питание при общем снижении его калорийности. Суточная калорийность питания на душу населения в России составляет 2300 ккал. По этому показателю Россия близка с Молдавией, Индией, Бангладеш, Таиландом, Туркменией, Филиппинами, Боливией. В развитых странах он превышает 3000 ккал (Великобритания, Германия, Финляндия, Нидерланды, США, Канада). К этому уровню приблизились некоторые постсоциалистические страны — Польша, Румыния, Венгрия.
За годы реформ, по существу, разрушены многие отрасли социальной сферы и сократилась доля расходов населения на платные услуги. Снизилось качество медицинского обслуживания, образования. Полноценные лечение и отдых за пределами постоянного места жительства стали недоступны для значительной части населения.
Усилились межрегиональные и межотраслевые различия в доходах и заработной плате. По сравнению со средней заработной платой в российской экономике самая низкая заработная плата в отраслях социальной сферы — образовании, здравоохранении, культуре, науке, сельском и лесном хозяйстве, легкой промышленности и машиностроении. Значительно превышает среднюю заработную плату оплата труда в газовой, нефтедобывающей и нефтеперерабатывающей промышленности, цветной металлургии.
Дифференциация российских регионов по количеству наборов прожиточного минимума, который можно купить, достигает 10 раз. К наиболее обеспеченным относятся регионы, являющиеся финансовыми центрами (Москва) или связанные с топливно-энергетическим комплексом (Тюменская область, Ямало-Ненецкий и Ханты-Мансийский автономные округа). Наименее обеспеченными являются Республика Ингушетия, Коми-Пермяцкий автономный округ, республики Тыва, Дагестан, Читинская область. Сокращение межрегиональной дифференциации реальных доходов населения является одним из важнейших направлений в политике доходов и заработной платы.
Межрегиональная дифференциация в доходах и заработной плате связана с безработицей. Так, ниже среднего уровня безработица в Москве, Санкт-Петербурге, Тюменской области, а в Ямало-Ненецком и Ханты-Мансийском автономных округах — примерно средняя. В то же время в депрессивных регионах уровень безработицы значительно превышает средний: в Республике Ингушетия — почти в 5 раз, в Республике Дагестан — почти в 2 раза, в Республике Тыва, Коми-Пермяцком автономном округе и Читинской области — в 1,5 раза.
Тесная связь дифференциации доходов и безработицы свидетельствует о том, что в современных условиях повышение занятости население приобретает важнейшее значение в политике доходов и заработной платы.
Социальная защищенность и борьба с бедностью
В рыночной экономике возрастает роль социальной защищенности всех слоев населения, в особенности наименее обеспеченных.
Система социальной защищенности включает: обязательное медицинское страхование, пенсионное обеспечение, социальное страхование, минимальные социальные гарантии, выплату пособий по нетрудоспособности, безработице, малообеспеченным и многодетным семьям, в связи с рождением ребенка, инвалидам, беженцам, детям, оставшимся без попечения родителей, дотации и льготы малообеспеченным слоям населения (см. гл. 13).
Так, в пенсионном обеспечении намечается переход от распределительной системы к накопительной. Повышается обоснованность, адресность назначения и выплаты пособий по временной нетрудоспособности, по уходу за ребенком, по безработице, различных льгот нуждающимся слоям населения.
В политике доходов и заработной платы будет сохранена бесплатная (или страховая) система медицинского обслуживания и образования при минимально гарантированных нормах. Должна быть развита сеть социальных учреждений, обслуживающих бедных и бездомных граждан.
В то же время гражданам будет предоставлена более широкая возможность выбора различных систем пенсионного обеспечения, здравоохранения и др.
Важную роль в программах повышения уровня и качества жизни населения играют улучшение жилищных условий, рынок жилья. При нынешнем уровне доходов для подавляющего большинства населения улучшение жилищных условий за счет собственных средств пока недоступно. В этих условиях необходимо сохранить государственную систему обеспечения жильем для имеющих плохие жилищные условия семей, широко использовать продажу жилья в кредит и наем государственного жилья, развивать ипотеку.
Особую роль приобретает социальная защита наименее обеспеченного населения, живущего за чертой бедности. По оценкам социологов, значительная часть населения еще не адаптировалась к рынку: примерно 20% включились в новую жизнь, приблизительно 25% не приспособились к ней и не смогут этого сделать в силу различных индивидуальных особенностей (возраст, состояние здоровья, семейное положение, сформировавшийся менталитет). Более половины населения (55%) находится как бы в ожидании, причем часть старается приобщиться к новым условиям, но не всегда эффективно.
Наиболее богатый, но малочисленный слой населения (2—3%) — это в основном граждане, участвующие в организации посредническо-перекупочной, финансово-кредитной деятельности и криминальной сфере, а также руководители некоторых предприятий.
Следующая по доходам более широкая прослойка, средний класс (15% населения) —лица, оказывающие «богатой прослойке» необходимые услуги: часть работников, занятых в финансово-кредитной сфере, телевещании, рекламе, часть занятых в торговле и сфере услуг, ориентированная прежде всего на высокодоходные слои населения (автосервис, строительство коттеджей, туризм, организаторы досуга и т.д.), индивидуальные предприниматели, квалифицированные работники «привилегированных» отраслей — газовой и нефтедобывающей, аккумулирующих частично в заработной плате высокую эффективность добываемых ресурсов (ренту).
По данным Госкомстата России, удельный вес населения, проживающего за чертой бедности, превышает 20%. Среди малообеспеченных наибольшую долю составляют пенсионеры и многодетные семьи. Поэтому в политике доходов и заработной платы первостепенное внимание должно быть уделено их социальной защите.
Рост бедности в значительной мере связан с тем, что в современной России инфляционное бремя распределяется неравномерно. Удорожание потребительских товаров и услуг в первую очередь и в большей мере касается тех из них, которые удовлетворяют первичные жизненные потребности и составляют основу потребления малообеспеченных слоев населения.
В переходной экономике России наряду с традиционными видами бедности — застойной и временной — появилась новая бедность. В группу новых бедных входят слои населения, которые по своему образованию и квалификации, социальному статусу и демографическому положению никогда ранее не входили в нижний слой общества. Падение доходов у них вызвано прежде всего низким уровнем заработной платы на государственных предприятиях, безработицей и частичной занятостью, несвоевременной выплатой заработной платы и пенсий.
Борьба с бедностью — одна из важнейших стратегических задач демократического развития общества. Необходимо установить официальный статус бедной семьи, с тем чтобы многие виды социальных пособий стали адресными. Это касается в первую очередь пособий на детей и дотаций на жилищно-коммунальные услуги. По оценкам Международной организации труда (МОТ), лишь около 1/5 суммарных социальных трансфертов в России поступает семьям, находящимся за чертой бедности.
Программа борьбы с бедностью должна осуществляться в комплексе с программами долговременного экономического роста и инвестиций, стабилизации кредитно-денежной системы, занятости и создания рабочих мест.
При разработке политики доходов необходимо учитывать два варианта. Первый предполагает развитие исторически сложившихся в России форм социальной защиты населения, основанных на социальной справедливости, коллективистских отношениях, равном доступе к образованию, здравоохранению, заботе государства о гражданах с момента рождения до глубокой старости. Второй вариант основан на сочетании накопительного и распределительного принципов, дифференциации социальной защиты между богатыми и бедными слоями населения.
Выводы
1. Повышение уровня качества жизни — важнейшее направление в политике доходов и заработной платы. Уровень и качество жизни взаимосвязаны. Уровень жизни характеризует социально-экономические результаты развития общества.
2. Уровень и качество жизни измеряются системой индикаторов — интегральных и частных, натуральных и стоимостных. Для разработки политики доходов и заработной платы важно учитывать не только общие характеристики уровня и качества жизни в стране, но и их дифференциацию по социально-демографическим, профессиональным и доходным группам населения, по регионам, сельской и городской местности.
3. В современной России наиболее актуальными проблемами повышения уровня и качества жизни являются обеспечение занятости, усиление социальной защищенности населения, борьба с бедностью.






