Варианты:
| Вариант | Нормальная реакция на колесе RZ, Н | Расстояние от центра колеса до оси шкворня l1, м | Расстояние от центра колеса до опасного сечения l2, м | Радиус колеса rК, м | Толщина стенки двутавра а, м |
| 0,07 | 0,205 | 0,315 | 0,008 | ||
| 0,065 | 0,263 | 0,422 | 0,01 | ||
| 0,08 | 0,26 | 0,4 | 0,009 | ||
| 0,055 | 0,4 | 0,362 | 0,0085 | ||
| 0,09 | 0,39 | 0,386 | 0,0095 | ||
| 0,11 | 0,48 | 0,457 | 0,014 | ||
| 0,1 | 0,42 | 0,41 | 0,012 | ||
| 0,105 | 0,5 | 0,482 | 0,015 | ||
| 0,13 | 0,51 | 0,53 | 0,016 | ||
| 0,095 | 0,3 | 0,38 | 0,009 |
Пример решения:
Для балки управляемого моста, как известно /2 с.223…227/, наибольшая напряженность работы возникает при двух случаях нагружения: при торможении и при заносе.
1. Режим торможения с блокированием колес.
Местом опасного сечения принимается сечение балки по месту крепления рессоры. В этом сечении при торможении действуют напряжения от трех силовых факторов: изгиб в горизонтальной плоскости от тормозной силы; изгиб в вертикальной плоскости от реакции весу на колесе; кручение от тормозной силы на плече динамического радиуса колеса. Принимается допущение: форма балки – линия.
| R z |
| l 1 |
| l 2 |
| r к |
| PТ |
| А |
| l 1 |
| l 2 |
| PТ |
| Вид спереди |
| Вид сверху |
| P'Т |
| P'Т |
Напряжение изгиба в вертикальной плоскости:
.
Напряжение изгиба в горизонтальной плоскости определится с учетом шарнира-шкворня. Шарнир не может оказать реакцию изгибающему моменту. Поэтому из центра шкворня (на виде сверху) строятся две противоположно направленные силы, равные тормозной силе (это способ переноса силы параллельно себе). Реально балку изгибает в горизонтальной плоскости сила P'Т = PТ (направленная вверх на рисунке) на плече l 2 - l 1. Оставшийся момент (от пары сил PТ и P'Т действующих на плече l 1) воспринимается рулевой трапецией и к расчету балки отношения практически не имеет.
Таким образом, напряжение изгиба в горизонтальной плоскости:
.
В этих уравнениях тормозная сила берется максимальной по условиям сцепления колеса с дорогой
(φmax = 0,8), моменты сопротивлений в вертикальной и горизонтальной плоскостях соответственно равны /2 с.223/:
,
.
Общее напряжение изгиба определится:
.
Это напряжение не должно превышать [σ] = 300 МПа.
Напряжение кручения балки от тормозного момента:
,
- момент сопротивления кручению, м3.
- момент инерции сечения при кручении, м4.
Величины δmax,δ, h – определяются по упрощенному виду сечения балки:
| а |
| 3,8 а |
| 6 а |
| 4,25 а |
| δmax |
δmax – наибольшая толщина сечения балки, м; δ – короткая, h – длинная стороны элементарных прямоугольников, на которые можно разбить сечение балки (на этой схеме их три, например, у среднего h = 3,8 а, δ = а), м.
Напряжение не должно превышать [τ] = 150 МПа.
2. Второй расчетный режим – движение на повороте с максимальной боковой силой. Принимается крайний случай, когда колеса одного борта уже не касаются дороги, то есть вся нагрузка на ось приходится на одно колесо. В таком режиме на опасное сечение балки действует только изгибающий момент в вертикальной плоскости и напряжение определится как:
.
WXB – момент сопротивления изгибу в вертикальной плоскости уже использовался выше и величина его известна. Изгибающий момент определится исходя из расчетной схемы:
| R'Z |
| l2 |
| rK |
| Ц.М. |
| Центробежная сила |
| Ry |
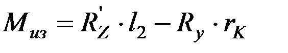
Составляя уравнение изгибающих моментов относительно опасного сечения, получим:
.
В данном режиме R'Z = 2∙ RZ, а Ry из условий максимального сцепления колес с дорогой:
.
Максимальный коэффициент сцепления можно принять 0,8.
Напряжение изгиба, как и в предыдущем случае, не должно превышать [σ] = 300 МПа.
Контрольные вопросы
1. Записать в общем случае расчет напряжений изгиба балки при торможении.
2. Записать в общем случае расчет напряжения кручения балки при торможении.
3. Записать в общем случае расчет напряжения изгиба балки при действии только боковой силы.
4. Какой режим работы автомобиля вызывает наибольшую напряженность балки управляемого моста?
5. Нарушением каких условий эксплуатации можно вызвать напряжения в балке, превышающие расчетные?
6. Ухудшение каких эксплуатационных свойств вызывает эксплуатация автомобиля с погнутыми балками мостов?
ЛИРЕРАТУРА
1. НИИАТ: Краткий автомобильный справочник.
2. Конструирование и расчет автомобиля: Учебник для вузов / П.П.Лукин, Г.А.Гаспорянц, В.Ф.Родионов. – М.: Машиностроение, 1984.-376 с., ил.
3. Специальная литература по конкретной модели автомобиля.
4. Конспекты лекций по курсу "Автомобиль. Анализ конструкций и элементы расчета".






