Список иллюстраций – это список названий рисунков, диаграмм, графиков с указанием номеров страниц, на которых они находятся.
1. Присвоить названия рисункам с помощью кнопки Вставить название в группе Названия на вкладке Ссылки.
2. Установить указатель мыши в месте вставки списка иллюстраций.
3. На вкладке Ссылки в группе Названия, щелкнуть по кнопке Список иллюстраций.
4. Из списка Название выбрать тип названий, которые следует включить в список иллюстраций.
5. Из списка Форматы выбрать нужный вид списка иллюстраций.
6. Включить режимы Показать номера страниц, Номера страниц по правому краю.
7. При необходимости выбрать заполнитель между текстом и номерами страниц.
В поле Образец этого диалогового окна отображается вид списка иллюстраций при заданных установках.
Практическая работа 6
1. Используя редактор Microsoft Equation, ввести следующий текст:
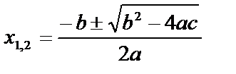
a) Корни квадратного уравнения
определяются по формуле
.
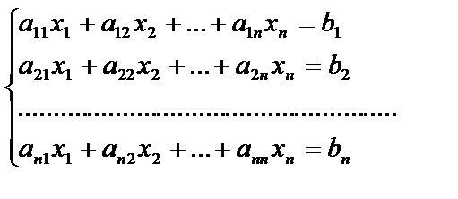
b) Дана система линейных уравнений:
. 
Эту систему в матричном виде можно записать следующим образом:
|
|
|

где 
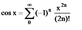
c) Разложение функции cos x в степенной ряд:
.
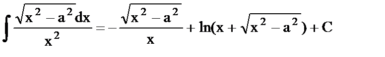
d)
.
2. Используя редактор Microsoft Word 2007, ввести следующие формулы:
a)
;
b)
;
c) если
и
‑ формулы, то выражения
,
,
, 
считаются формулами.
d)
.
3. Открыть файл, созданный в работах 1-3.
4. Используя инструменты рисования Word, освоить следующие операции:
- рисование линий, стрелок, полилиний, кривых, геометрических фигур;
- изменение размеров, перемещение, сдвиг, поворот и отражение графических объектов;
- выделение и группировку графических объектов;
- добавление границ, заливки, тени, объема.
5. Освоить добавление текста к графическим объектам: выноски к рисунку, вставку текста в автофигуру.
6. Используя инструменты рисования Word, начертить:
a) блок-схему цикла с параметром
| i:=in |
| Тело цикла |
| i:≤in |
| i:-i+1 |
| да |
| нет |
b)
| Арифметическо- логическое устройство |
| Устройство вывода |
| Устройство управления |
| Запоминающее устройство |
| Устройство ввода |
принципиальную схему компьютера:
7. Создать организационную диаграмму:

8. Освоить создание фигурного текста (объектов WordArt). Освоить инструменты панели WordArt.
9. Научиться создавать буквицу.
10. Разместить графические объекты в тексте, используя различные виды обтекания.
11. Освоить использования объекта Надпись для создания обособленных блоков текста с различными видами обтекания вокруг них основного текста, размещения текста на полях страницы, изменения направления текста в отдельном блоке.
12. Добавить названия к графическим объектам.
13. Создать список иллюстраций.
10. Функция слияния
С помощью функции слияния создаются типовые документы.
|
|
|
Типовой документ – это текстовый документ, основу которого составляет документ с типовым текстом, одинаковым для всех экземпляров, заполняемый конкретными данными, своими для каждого экземпляра.
Переменные данные содержатся в документе, называемом источником данных. Текст и другие элементы, общие для всех экземпляров, содержатся в основном документе. Вместо переменных данных в основной документ вставляются поля слияния. В результате слияния каждый экземпляр типового документа заполняется своими данными.
Процесс создания типовых документов включает следующие этапы:
- создание основного документа;
- создание источника данных;
- вставка полей слияния в основной документ;
- слияние основного документа и источника данных.
К типовым документам относятся письма, конверты, наклейки.
Создание типовых писем
1. Настройка основного документа: на вкладке Рассылки в группе Начать слияние открыть меню кнопки Начать слияние и выбрать вариант Письма.
2. Выбор или создание источника данных: на вкладке Рассылки в группе Начать слияние открыть меню кнопки Выбор получателей.
3. Если документ-источник данных уже существует, выбрать вариант Использовать существующий список и в открывшемся диалоговом окне выбрать нужный файл. Для создания нового источника данных выполнить следующие действия:
- выбрать вариант Ввести новый список;
- в открывшемся окне щелкнуть по кнопке Настройка столбцов;
- в открывшемся окне с помощью соответствующих кнопок удалить ненужные и добавить нужные поля; щелкнуть по кнопке ОК;
- ввести данные, щелкая по кнопке Создать запись или нажимая клавишу Tab для перехода к следующей записи; после ввода всех записей щелкнуть по кнопке ОК;
- в открывшемся окне сохранить файл в формате.mdb (назначается по умолчанию).
4. Ввести текст в основной документ. Для вставки поля щелкнуть по кнопке Вставить поле слияние в группе Составление документа и вставка полей на вкладке Рассылки и выбрать из списка нужное поле.
5. Для предварительного просмотра типовых документов щелкнуть по кнопке Просмотр результатов в группе Просмотр результатов на вкладке Рассылки. В этой же группе имеются кнопки Следующая запись и Предыдущая запись для перемещения по записям.
6. Завершение слияния: на вкладке Рассылки в группе Завершить открыть меню кнопки Найти и объединить и выбрать один из вариантов:
- для создания документа, содержащего все или некоторые экземпляры типового документа – вариант Изменить отдельные документы;
- для печати всех или некоторых экземпляров – вариант П ечать документов.
В открывшемся диалоговом окне указать, какие записи надо включить в документ или напечатать.
Редактирование источника данных
1. Находясь в основном документе, щелкнуть по кнопке Изменить список получателей в группе Начать слияние на вкладке Рассылки.
2. В открывшемся диалоговом окне в списке Источник данных выделить строку с нужным файлом и щелкнуть по кнопке Изменить.
3. В открывшемся диалоговом окне выполнить одно из следующих действий:
- для добавления новых полей или удаления существующих щелкнуть по кнопке Настройка столбцов;
- для создания новой записи щелкнуть по кнопке Создать запись и ввести данные;
- для удаления текущей записи щелкнуть по кнопке Удалить запись;
Отбор записей
Отбор записей выполняется, чтобы применить функцию слияния к записям, удовлетворяющим заданным условиям.
1. Находясь в основном документе, щелкнуть по кнопке Изменить список получателей в группе Начать слияние на вкладке Рассылки.
2. В открывшемся диалоговом окне щелкнуть по ссылке Фильтр и ввести условия отбора.
Каждое условие отбора содержит имя поля данных, условие сравнения и значение (текст или число), с которым будут сравниваться данные поля.
|
|
|
Для задания сложных условий используются логические операторы И и ИЛИ.
Для снятия фильтра щелкнуть по кнопке Очистить все.
Настройка слияния с помощью полей Word
В документы, созданные путем слияния можно ввести дополнительные сведения с помощью полей Word. В частности, поле IF…THEN…ELSE позволяет выбрать один из двух вариантов значения поля в зависимости от выполнения указанного условия. Например, в зависимости от пола клиента можно ввести различное обращение: «Господин» или «Госпожа».
Для вставки в основной документ поля IF…THEN…ELSE следует:
1. Поместить курсор в позицию, в которую надо вставить поле.
2. На вкладке Рассылки в группе Составление документа и вставка полей открыть меню кнопки Правила.
3. Выбрать поле IF…THEN…ELSE.
4. В верхней части диалогового окна ввести условие (например: «Пол равно женский»).
В средней части окна ввести текст, который должен быть вставлен, если указанное условие выполняется (в приведенном примере: «Госпожа»).
В нижней части окна ввести текст, который должен быть вставлен, если указанное условие не выполняется.
Создание конвертов
Для автоматического ввода обратного адреса на конверт:
1. Открыть окно кнопки Office.
2. Щелкнуть по кнопке Параметры Word.
3. Открыть вкладку Дополнительно.
4. В поле Почтовый адрес ввести адрес отправителя.
Для создания конвертов::
1. На вкладке Рассылки в группе Начать слияние открыть меню кнопки Начать слияние и выбрать вариант Конверты.
2. В диалоговом окне Параметры конверта задать размер конверта, а также расположение и параметры шрифта адресов получателя и отправителя.
3. Выполнить выбор или создание источника данных (так же, как для писем).
4. В основном документе установить курсор ввода в области адреса получателя, на вкладке Рассылки в группе Составление документа и вставка полей открыть список кнопки Вставить поле слияние и выбрать нужные поля.
7. Для предварительного просмотра конвертов щелкнуть по кнопке Просмотр результатов в группе Просмотр результатов на вкладке Рассылки.
|
|
|
8. Для завершение слияния: на вкладке Рассылки в группе Завершить открыть меню кнопки Найти и объединить и выбрать один из вариантов: Изменить отдельные документы или П ечать документов. В открывшемся диалоговом окне указать, какие записи надо включить в документ или напечатать.
Создание наклеек
1. На вкладке Рассылки в группе Начать слияние открыть меню кнопки Начать слияние и выбрать вариант Наклейки.
2. В диалоговом окне Параметры наклейки выбрать нужный тип.
3. Выполнить выбор или создание источника данных (так же, как для писем).
4. Установить курсор ввода в области первой наклейки и вставить нужные поля с помощью кнопки Вставить поле слияние в группе Составление документа и вставка полей на вкладке Рассылки.
5. Для копирования содержимого первой наклейки в остальные наклейки щелкнуть по кнопке Обновить наклейки в группе Составление документа и вставка полей на вкладке Рассылки.
9. Для предварительного просмотра наклеек щелкнуть по кнопке Просмотр результатов в группе Просмотр результатов на вкладке Рассылки.
10. Для завершение слияния: на вкладке Рассылки в группе Завершить открыть меню кнопки Найти и объединить и выбрать один из вариантов: Изменить отдельные документы или П ечать документов. В открывшемся диалоговом окне указать, какие записи надо включить в документ или напечатать.
Практическая работа 7






