Сущность межвидовой конкуренции заключается в том, что у особей одного вида уменьшается плодовитость, выживаемость и скорость роста в результате использования того же ресурса, что и особями другого вида, причем влиянию конкуренции в той или иной мере подвергаются особи обоих видов.
Так как мы имеем дело с двумя различными популяциями, то введем соответствующие обозначения. Пусть N1 - численность первой популяции, a N2 - второй. Предельные плотности насыщения и максимальные врожденные скорости роста популяций обозначим соответственно K1, К2, r1 и r2, рис. 7.43.
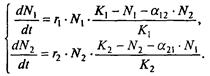
Обратимся к логистическому уравнению (7.65) и попробуем учесть в нем межвидовую конкуренцию. Сделаем это так. Предположим, что М особей вида 2 оказывают такое же воздействие на вид 1, как одна особь вида 1. Константу
в этом случае называют коэффициентом конкуренции. Обозначим ее α12. Таким образом, чтобы отразить суммарное воздействие на вид 1, надо в логистическом уравнении в числителе дроби вместо N записать N1 + α12∙N2. Аналогично получается уравнение для исследовании численности второй популяции. В результате получаем систему двух дифференциальных уравнений:
(7.67)
Модель межвидовой конкуренции, выраженная этой системой» названа в честь ее авторов «моделью Лотки-Вольтерры».
Заметим, что если коэффициенты α12 или α21 больше единицы, то влияние со стороны конкурирующей популяции на особей данного вида сильнее, чем со стороны особей своего вида.

Рис. 7.43. Устойчивое сосуществование популяций при r1 = 2, r2 = 4, К1 = 200, К2 = 180, α12 = 0,5, α21 = 0,65, N
= 100, N
= 25. Устойчивое сосуществование достигается лишь при α12∙ α21 < 1. Сплошная линия - численность первой популяции, штриховая – второй
Главный вопрос, который интересует исследователя межвидовой конкуренции -при каких условиях увеличивается или уменьшается численность каждого вида? Для ответа на этот вопрос надо построить диаграммы, где были бы изображены все возможные сочетания численностеи обоих видов. На таких диаграммах численность одного вида откладывают по горизонтальной оси, а другого - по вертикальной. При одних сочетаниях численностеи будет отмечаться рост выбранной для наблюдения популяции, при других - уменьшение ее численности. Также для каждого из видов можно провести изоклины - линии, вдоль которых не наблюдается ни увеличения, ни уменьшения численности.
Рассмотрим, как можно построить изоклину для первого вида. По определению, для этой линии
= 0. Из первого уравнения системы (7.67) получаем

Это равенство выполняется, если какой-либо из множителей равен нулю. Наибольший интерес представляет ситуация, в которой

или


Рис. 7.44. Изоклины, полученные с помощью модели Лотки-Вольтерры. Длины стрелок пропорциональны изменению численности, стрелки указывают направление изменения численности
Таким образом, получено уравнение изоклины, которое, как можно заметить, является уравнением прямой в плоскости (N1, N2). Вверх и вправо от изоклины из-за высокой численности обеих популяций численность вида 1 снижается, в противоположных направлениях - повышается. Аналогично можно построить изоклину для вида 2. На рис. 7.44 построены соответствующие изоклины, и показано изменение численности популяций.

Рис. 7.45. Результаты конкуренции, полученные с помощью модели Лотки-Вольтерры при различных параметрах. На рисунке а в зоне I численность обеих популяций падает; в зоне II - численность первой популяции растет, второй - уменьшается; в зоне 111 - численность обеих популяций увеличивается
Таким образом, получено уравнение изоклины, которое, как можно заметить, является уравнением прямой в плоскости (N1, N2). Вверх и вправо от изоклины из-за высокой численности обеих популяций численность вида 1 снижается, в противоположных направлениях - повышается. Аналогично можно построить изоклину для вида 2. На рис. 7.44 построены соответствующие изоклины и показано изменение численности популяций.
Для решения поставленной выше задачи объединим в одной фазовой плоскости изоклины для обоих видов и будем одновременно исследовать динамику их численности. Изоклины относительно друг друга располагаются четырьмя различными способами, что дает различный исход конкуренции. На рис. 7.45 представлены результаты конкуренции, полученные с помощью системы уравнений (7.67), заимствованные из книги М. Бигона и др. «Экология».






