При встречах людей в группах или парах существует всего шесть различных способов проводить свое время. Э. Берн дал следующие определения этим шести видам структурироваия времени: уход, ритуалы, времяпрепровождение, деятельность, игры, интимность. По мнению Берна, все они способствуют удовлетворению структурного голода человека.
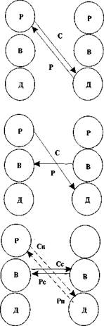
Рис. 2.2 Схемы транзакций
Поглаживание определяется как единица транзакции. Можно классифицировать поглаживания следующим образом: вербальные или невербальные, позитивные или негативные, условные или безусловные.
Сценарий жизни. В детстве каждый из нас пишет свой собственный сценарий жизни. Основной сюжет мы пишем в раннем детстве, до того, как научились говорить, а после лишь добавляем детали к нашему сценарию. К семи годам сценарий в основном написан, а в юношеском возрасте мы можем его пересмотреть. Будучи взрослыми, мы обычно не осознаем, что написали для себя сценарий жизни, тем не менее в точности ему следуем. Без осознания этого факта мы устраиваем нашу жизнь таким образом, что движемся к той финальной сцене, которую определили в детстве. Наряду с моделью эго-состояний концепция сценария жизни является краеугольным камнем транзактного анализа. Она особенно важна в психотерапевтической деятельности. При анализе сценария мы используем концепцию сценария жизни для понимания того, как люди могут неосознанно создавать себе проблемы и как они решают их.
Берн выдвинул идею о том, что еще на раннем этапе формирования сценария маленький ребенок уже имеет определенные представления о себе и окружающих его людях. Эти представления, по-видимому, остаются с ним всю жизнь и могут быть охарактеризованы следующим образом: «я – ОК» или «я – не ОК»; «ты – ОК» или «ты – не ОК».
Если объединить эти положения во всех возможных комбинациях, мы получим четыре установки о себе и других людях:
• я - OK, ты - OK;
• я – не OK, ты – OK;
• я – OK, ты – не ОК;
• я – не ОК, ты – не ОК.
Анализ жизненного сценария выявил один интересный факт, заключающийся в том, что, по-видимому, существует лишь шесть основных паттернов сценарного процесса. Известны шесть следующих паттернов сценарного процесса: Пока не; После; Никогда; Всегда; Почти; Открытый конец. Каждый из этих паттернов имеет собственную тему, описывающую конкретный способ проживания человеком своего сценария.
Сценарий «Пока не»: «Я не могу радоваться, пока не закончу работу».
Сценарий «После»: «Я могу радоваться сегодня, однако завтра должен буду за это заплатить».
Сценарий «Никогда»: «Я никогда не получаю того, что больше всего хочу».
Сценарий «Всегда»: «Почему это всегда случается со мной?»
Сценарий «Почти»: «В этот раз я почти достиг своего».
К. Таиби (Taibi, Hedges, 1974) выдвинул идею о существовании двух типов паттерна «Почти». Описанный выше паттерн он называет «Почти – тип 1». «Почти – тип 2» характерен для людей, которые достигают вершины горы, однако вместо того, чтобы оставить камень и отдохнуть, такие люди не замечают, что они на вершине. Они сразу же ищут более высокую гору и тут же начинают толкать на нее свой камень. Это повторяется бесконечно.
Сценарий с открытым концом (Открытый сценарий). Этот паттерн напоминает сценарии «Пока не» и «После» тем, что в нем присутствует точка раздела, после которой все меняется. Человеку с открытым сценарием время после этого момента представляется пустотой, как будто бы часть театрального сценария была утеряна.
Было обнаружено существование четко определенных наборов поведения, которые проявляются людьми перед тем, как войти в какое-либо сценарное поведение. Был составлен список из пяти таких непрерывных способов поведения, которые они назвали драйверами.
Известны пять драйверов: Будь лучшим, Радуй других, Старайся, Будь сильным, Спеши. Каждый из них характеризуется определенным набором слов, тоном голоса, жестами, положением тела и выражением лица. Пять драйверов также тесно связаны с шестью типами сценарного процесса. Наблюдая за паттернами драйверов какого-нибудь человека, можно достаточно точно предсказать его сценарный процесс.
Обнаружив главный драйвер, можно сделать вывод о типе главного сценарного процесса человека. Соответствия между драйверами и типами сценарного процесса приведены в табл. 2.1.
Таблица 2.1. ДРАЙВЕРЫ И ТИПЫ СЦЕНАРИЕВ
| Главный драйвер | Сценарный процесс |
| Будь лучшим | Пока не |
| Радуй других | После |
| Будь сильным | Никогда |
| Пытайся | Всегда |
| Радуй других + Пытайся | Почти – тип 1 |
| Радуй других + Будь лучшим | Почти – тип 2 |
| Радуй других + Будь сильным | С открытым концом |
Игнорирование в транзактном анализе – это бессознательное игнорирование информации, связанной с решением какой-то проблемы.
Мировосприятие и искажение. Каждый человек воспринимает окружающий мир по-своему, и ваше восприятие мира будет отличаться от любого другого. Мировосприятие определяют как структуру ассоциативных ответов, интегрирующую различные эго-состояния при реагировании на определенные стимулы. Мировосприятие предоставляет человеку целостный перцепту-альный, концептуальный, эмоциональный и двигательный способ определения себя, других людей и окружающего мира.
Для облегчения понимания этого формального определения мировосприятие предлагают рассматривать как «фильтр реальности».
Симбиоз имеет место тогда, когда двое или более людей ведут себя так, как будто вместе образуют одного человека. Люди, принимающие участие в таких взаимодействиях, не используют все имеющиеся у них эго-состояния. Обычно один из них исключает Ребенка и использует лишь Родителя и Взрослого, а другой занимает противоположную позицию, оставаясь в Ребенке и блокируя два других эго-состояния. При вхождении в симбиоз его участники чувствуют себя более комфортно. Каждый играет роль, которую от него ожидают, однако этот комфорт достигается за определенную плату: находящиеся в симбиозе блокируют многие свои способности и возможности, присущие им как взрослым.
Чувство рэкета определяется как обычная эмоция, зафиксированная и поощряемая в детстве, переживаемая в самых различных стрессовых ситуациях и не способствующая взрослому решению проблем. Рэкет представляет собой набор сценарных поведений, используемых вне нашего осознания как средство манипулирования окружением и включающее в себя переживания (ощущение) человеком чувства рэкета.
Игры и анализ игр. Можно выделить несколько характерных особенностей, присущих играм.
• Игры постоянно повторяются. Время от времени каждый человек играет в свою любимую игру. При этом игроки и обстоятельства могут меняться, однако паттерн игры всегда остается одним и тем же.
• Игры проигрываются вне осознания Взрослого. Несмотря на то что люди играют в одни и те же игры, они не осознают этого. Лишь на заключительной стадии игры игрок может спросить себя: «Как это опять могло случиться со мной?» Даже в этот момент люди обычно не понимают, что они сами начали игру.
• Игры всегда заканчиваются тем, что игроки испытывают рэкетные чувства.
• Игроки во время игр обмениваются скрытыми транзакциями. В любой игре на психологическом уровне происходит нечто совершенно отличное от того, что имеет место на социальном уровне. Мы знаем об этом потому, что люди играют в свои игры снова и снова, находя партнеров, игры которых подходят к их играм.
• Игры всегда включают в себя момент удивления или смущения. В этот момент игрок ощущает, что случилось нечто неожиданное.
Описание приведенных ниже техник предполагает достаточно глубокое знакомство с положениями тран-зактного анализа. Для этого можно порекомендовать следующие работы (Берн, 1998; Гулдинг, Гулдинг, 1997; Стюарт, Джойнс, 1996; Steiner, 1990; 1996; Schiff, Schiff, 1971; Karpman, 1968). -
Упражнения в приводимых ниже тренингах взяты из книг «Современный транзактный анализ» (Стюарт, Джойнс, 1996) и «Рожденные выигрывать» (Джеймс, Джонгвард, 1993).






