Данный метод имеет несколько разновидностей. Рассм-м более подробно метод элементарных объемов. Т.к. будем рассм-ть тепловые задачи, то будем рассм-ть метод элементарных тепловых балансов. Иногда этот метод наз-ют – методом контрольных объемов. Любая разновидность методов конечных разностей м.б. представлена в виде 3 основных этапов:
1. Дискретизация пространства и построение расчетной сетки. Суть этапа: закл-ся в переходе от непрерывного пространства, для которого решается задача к дискретному.
2. Получение сис-мы алгебраических у-ний, отражающих соотношение между значениями искомой ф-ции в точках дискретного пространства.
3. Решение полученной сис-мы алгебраических у-ний. Относительно неизвестных значений искомой ф-ции в точках дискретного пространства.
;
.
+ граничные условия
+ начальные условия
+ геометрическая область
+ пар-ры среды.

.
Пусть задана некая область, ограниченная прямоугольником. Требуется найти распределение т-ры внутри этой области при известных граничных условиях и известных теплофизических св-вах среды, заполняющих эту область.
|
|
|

Разобьем нашу область на n уч-ков по оси х, и на m уч-ков по оси y, и поставим задачу найти значение т-ры в узлах полученной сетки. Выберем произвольный узел с дискретными координатами ij.
Покажем выделенный узел в совокупности с соседними узлами.
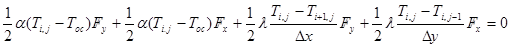
Вокруг рассматриваемого узла выделим элементарный объем, размеры которого будут соответствовать размерам между соседними узлами по одной и по другой оси. Выберем тепловые потоки от соседних узлов к выбранному узлу. Очевидно, что в случае стационарной задачи сумма тепловых потоков равна нулю.

.








Тепловой поток будет задан граничными условиями (q1).
1. Граничные условия первого рода: Т=const.


Т=f(y)
.
2. Граничные условия второго рода: q=const.





=К – верно.
3. Граничные условия третьего рода:
.






умножим на Δх и разделим на λ.




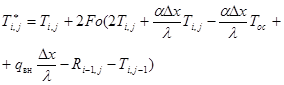
Нестационарная задача.







0<i<I
0<j<J → у нас 9 у-ний (9 точек).








