Алгоритм неявного метода.
1. задание вектора неизвестных т-р начального приближения, К – шаг итерации.

if (i=0 and j=0) then T[i,j].
if (i>1 and i<21 and j>1 and j<21) Then T[i,j].

2. 

При рассмотрении метода конечных разностей. Мы не обращали внимания на влияние пар-ров сетки на численное решение. Часто предполагают, что более высокую точность решения можно получить простым уменьшением шага сетки, соответственно, увеличивая объем работы. В действительности не всегда так, и кроме того, нам нужно получить правильный рез-т при минимальных затратах, поэтому важно знать не только сам метод, но и уметь определять его св-ва. Основными св-ми численных методов считают устойчивость, точность и сходимость.
Схема численного метода считается неустойчивой, если сеточное решение стационарного у-ния теплопроводности или другого вида переноса имеет колебательный хар-р или для нестационарного у-ния приобретает колебательный хар-р, и при этом ошибка постоянно возрастает и становится неограниченной. Для исследования устойчивости разработаны спец. методы: в частности метод дискретных возмущений. Этот метод закл-ся в том, что в конечно-разностные у-ния вводятся некоторые возмущения, и далее определяются, при каких условиях это возмущение могут затухать.
|
|
|
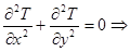
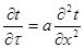
В качестве примера рассм-м нестационарное линейное у-ние теплопроводности:
, которое может быть представлено в виде:
.

Если 
.
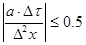
У-ние будет устойчиво в том случае, когда:
.
Если:
, тогда у-ние будет устойчиво при
.
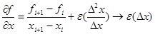
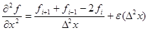
Точность метода определяется точностью аппроксимации исходного у-ния конечно-разностного у-ния:

,
,
. Погрешность м.б. разной.
Ф-ция точки:
.
- ошибка будет пропорциональна 1-й степени нашего интервала.
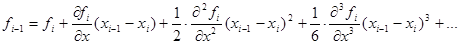
Разложим в обратную сторону:
.
Сложим 1 и 2:
- вторая производная.

+
=0,
.
Метод аппроксимации:
.
Запись для этих 3 точек значения ф-ции:

Конечно-разностная схема считается сходимой, когда выполняется условие сходимости в виде:
, где
- решение системы к-ой итерации,
- решение системы на к+1-ой итерации.
Конечно-разностные схемы так же хар-ся понятием консервативности, которое закл-ся в том, что при получении конечно-разностных у-ний выполняется условие соблюдения исходных интегральных законов сохранения, справедливых для исходных диф. у-ний.
В противном случае говорят о дивергентной форме конечно-разностных у-ний.






