Рассмотрим однородное электрическое поле с напряженностью E=U/d.
В таком поле напряженность в любой точке имеет одинаковую величину и
направление.

На единичный положительный заряд, помещенный в электрическое поле, действует сила, равная по величине напряженности этого поля. F=Е - для единичного положительного заряда и F=-е∙Е - для электрона.
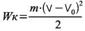
Знак «-» показывает, что сила действующая на электрон, направлена против линии напряженности электрического поля. Под действием данной силы электрон будет двигаться равноускоренно и приобретет максимальную скорость в конце пути. Поле, линии напряженности которого направлены навстречу вектору начальной скорости электрона Vо, называется ускоряющим электрическим полем. Работа по перемещению электрона из одной точки поля в другую равна произведению заряда электрона на разность потенциалов между этими точками A = e∙U. Данная работа затрачивается на сообщение электрону кинетической энергии.

где V - конечная скорость электрона,

V о - начальная скорость электрона.
Если V о = 0 то A = Wk, а так как e и m - константы, то V ≈ 600 √U
Отсюда видно, что скорость электрона в электрическом поле определяется только величиной напряжения между двумя точками поля.
Например, при U=1в скорость равна V= 600 км\сек, при U=100в скорость равна V= 6000 км\сек.






