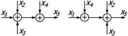
| Перенос сумматоров |
| |
| Перестановка звеньев |
| |
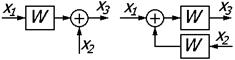
| Перенос узла с выхода сумматора на вход |
| |
| Перенос узла с входа сумматора на выход |
| |
| Перенос узла с выхода звена на вход |
| |
| Перенос узла со входа звена на выход |
| |
| Перенос сумматора с выхода звена на вход |
| |
| Перенос сумматора со входа звена на выход |
| |
| Замена передаточных функций прямой и обратной цепи |
| |
| Приведение к единичной обратной связи |
|






