ИЗМЕРЕНИЕ РАСХОДОВ ЖИДКОСТИ
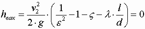
Предельная длина насадка
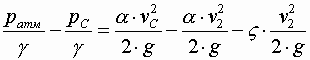
Величина вакуума в сжатом сечении насадка
















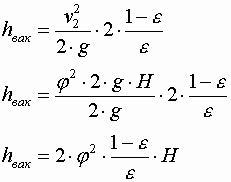
Истечение жидкости при переменном напоре
|
|

Для учета количества жидкости, расходуемой отдельными небольшими потребителями (жилые и общественные здания, небольшие предприятия, отдельные цеха), наибольшее распространение получили механические скоростные счетчики воды.
По конструктивному исполнению скоростные (тахометрические) счетчики жидкости подразделяют на две основные группы: крыльчатые, ось вращения крыльчатки которых перпендикулярна направлению движения жидкости, и турбинные, у которых ось вращения турбинки параллельна направлению движения жидкости.
Принцип действия скоростных счетчиков жидкости основан на измерении числа оборотов крыльчатки или турбинки, приводимых в движение потоком протекающей через счетчик жидкости. Число оборотов крыльчатки или турбинки пропорционально количеству протекающей через счетчик жидкости. Ось крыльчатки или турбинки с помощью передаточного механизма соединена со счетным механизмом, который, учитывая число оборотов, показывает количество протекающей через счетчик жидкости.
|
|
|
Qмакс - максимальный расход, при котором счетчик может работать кратковременно, не более одного часа в сутки;
Qном - номинальный расход, при котором счетчик может работать длительное время;
Qэ - эксплуатационный расход, при котором счетчик может работать непрерывно в течение всего срока эксплуатации;
Qмин - наименьший расход, для которого нормируется предел допускаемой относительной погрешности;
Qп.ч. - порог чувствительности, такой наименьший расход, при котором начинается устойчивое вращение рабочего органа счетчика.









