СI
BI
Задача. Задача, в которой задана средняя скорость и требуется найти h и b.
|
1) w = Q / v = A
2) v / i = B
3) h (b + m h) = A
C R = B
|
Решается данная система двух уравнений графически или подбором.
Ограничение скорости движения воды в каналах.
Средняя скорость движения воды в канале должна находиться в пределах vmin<v<vmax
vmax- максимально допустимая скорость (скорость при которой не происходит разрушения русла канала);
vmin- минимально допустимая скорость (скорость при которой не происходит отложений взвешенных частиц).
Действительная скорость зависит от уклона дна канала, а максимальная только от материала, из которого выполнены стенки канала и от глубины воды в нем.
песок - 0,2-0,6; гравий - 0,6-1,2; глина - 1,0-1,8; осадочные скальные породы - 2,5-4,5; бетон - 5-10.
мероприятия по увеличению максимально допустимой скорости. покрытие стенок и дна канала покрытием в виде каменных мостовых и бетонной облицовки.
мероприятия по снижению скорости. чтобы уменьшить скорость необходимо уменьшить либо R, либо C или i. В связи с этим различают три способа уменьшения скорости.
1) изменение формы поперечного сечения с целью уменьшения R. Это мероприятие малоэффективно, т.к. за счет изменения R мало удается снизить скорость.
2) создание искусственной шероховатости, в результате увеличивается n и уменьшается C. Экономически неэффективно.
3) уменьшение уклона за счет изменения трассы канала или устройства перепадов.
Расчет каналов имеющих составной профиль


Расчет каналов имеющих замкнутый поперечный профиль


;

НЕРАВНОМЕРНОЕ БЕЗНАПОРНОЕ УСТАНОВИВШЕЕСЯ ДВИЖЕНИЕ ВОДЫ В КАНАЛАХ
Будем рассматривать только турбулентное движение воды в квадратичное области. Причем для начала будем изучать плавно изменяющееся движение.
В начале вода, попавшая в канал, имеющий цилиндрическое русло, движется неравномерно (ускоренно), но затем по мере увеличения скорости возрастает сопротивление, поэтому со временем устанавливается равномерное движение жидкости. (Тело стремится находиться в состоянии равновесия или равномерно прямолинейно двигаться).
Равномерное движение устанавливается, когда площадь живого сечения, глубина и его скорость не меняются вдоль потока, а также не деформируется эпюра скоростей. Будем рассматривать случай только, когда меняются скорость и глубина.
Если уклон дна > 0 равномерный режим может нарушаться в 3 случаях:
1) в канале устанавливается плотина, вода переливается через плотину, т.е. фиксируем точку на свободной поверхности, а также глубину отличную от глубины при равномерном режиме движения, на некоторой ограниченной длине возникает неравномерное движение.
2) в канале устраивается перепад, фиксируется искусственным путем глубина.
3) в канале устанавливается щит.
В цилиндрическом канале с уклоном дна > 0 неравномерное движение устанавливается только в случае, когда имеется преграда.
i = 0. Из формулы Шези получаем v = 0. Следовательно, равномерный режим не возможен. Аналогично для i < 0.
Изучение неравномерного режима движения воды сводится к изучению задачи построения кривой свободной поверхности потока. Решение задачи сводится:
1) считаем, что заданы расход, форма и размеры канала, его шероховатость и уклон.
2) выделяем элементарный участок длиной ds и составляем дифференциальное уравнение неравномерного движения.
3) интегрируем данное диффуравнение, в результате чего получаем уравнение свободной поверхности.
Составление дифференциальных уравнений занимались Кориолис, Беланже, Буссинеск. Интегрированием Бахметьев, Рахманов.
Основное дифференциальное уравнение неравномерного движения в призматическом русле
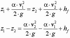
Учитывая, что давление на поверхности воды одинаковое

Из последнего уравнения видно, что изменение потенциальной энергии, равно изменению кинетической плюс потери энергии.
Выделим бесконечно малый участок ds. Для этого участка уравнение запишется

Разделим это уравнение на ds

Рассмотрим составляющие уравнения
1.
представляет собой гидравлический уклон. Используя формулу Шези можно записать. 
| 2. Теперь рассмотрим . Из рисунка видно, что или . Следовательно .
|
3. Перейдем к рассмотрению
Так как Q=const, a =1, w =f(h), h=f(s)
Учитывая, что 
Подставляя полученные выражения в уравнение


Для того чтобы привести данное уравнение к виду удобному для исследования необходимо ввести ряд понятий.
Удельная энергия сечения, критическая глубина








Нормальная глубина


Критический уклон





Исследование дифференциального уравнения неравномерного движения.

Рассмотрим два случая:
1. числитель равен 0, то есть
или 
уравнение равномерного режима движения (dh = 0, h = const)
2. знаменатель равен 0


dh/ds =
h = hk
Производная претерпевает разрыв непрерывности, следовательно, кривая свободной поверхности имеет вертикальную касательную. В районе касательной движение резко изменяющееся, а уравнение выведено в предположении плавно изменяющегося движения.
1. переход бурного потока в спокойный сопровождается гидравлическим прыжком;
- переход спокойного потока в бурный водопадом.
Второй вид дифференциального уравнения неравномерного движения в цилиндрических руслах при i > 0 (удобный для исследования форм кривых свободных поверхностей)





Пк – параметр кинетичности; при критическом состоянии потока Пк = 1; при спокойном Пк < 1; при бурном Пк > 1.
Разобьем область возможного расположения свободной поверхности на три зоны (a, b, c) путем проведения линий NN и KK параллельно дну.
- i > 0
возможны три случая:
- h0 > hk и i < ik возможны три формы свободной поверхности;
- h0 < hk и i > ik также возможны три формы свободной поверхности;
- h0 = hk и i = ik возможны две формы свободной поверхности.
Всего восемь различных кривых свободной поверхности. 6 из них кривых подпора и две спада.
Кривой подпора называется такая форма свободной поверхности, когда глубины вдоль потока возрастают.
| aI
Устанавливается в русле, когда искусственно фиксируется глубина в зоне а, то есть h > h0 > hк.
1. К2 > K2o; Пк < 1. Следовательно ч > 0 и з > 0, поэтому . Глубины вдоль потока увеличиваются следовательно это кривая подпора. При этом отметки свободной поверхности уменьшаются.
|
2. при h ®
- К2 также ®
Пк® 0

в низовой части кривая свободной поверхности имеет горизонтальную асимптоту.
3. при h ® h0 - К2 ® K20
, следовательно, в верховой части кривая также имеет асимптоту в виде линии нормальных глубин
4. кривая вогнута
5. удельная энергия сечения вдоль потока увеличивается.
Устанавливается в русле, когда искусственно фиксируется глубина в зоне b, то есть h0 > h > hк.
1. К2 < K20; Пк < 1. Следовательно ч < 0 и з > 0, поэтому
. Глубины вдоль потока уменьшаются следовательно это кривая спада.
2. при h ® h0 - К2 ® K20
, следовательно, в верховой части кривая также имеет асимптоту в виде линии нормальных глубин
3. при h ® hк в низовой части кривая свободной поверхности имеет вертикальную касательную.
4. кривая имеет выпуклость обращенную вверх
5. удельная энергия сечения вдоль потока увеличивается.
Устанавливается в русле, когда искусственно фиксируется глубина в зоне с, то есть h0 > hк > h.
1. К2 < K20; Пк > 1. Следовательно ч < 0 и з < 0, поэтому
. Глубины вдоль потока увеличиваются следовательно это кривая подпора.
2. при h ® hк в низовой части кривая свободной поверхности имеет вертикальную касательную.
3. кривая имеет выпуклость обращенную вниз
- удельная энергия сечения вдоль потока уменьшается.


i = 0
i < 0
Интегрирование дифференциального уравнения неравномерного движения методом Чарномского
|
|

| h | w | c | R | C | Э | i |
| l | |
| j | |||||||||
| j+1 |
Гидравлический прыжок
Гидравлический прыжок – резкое увеличение глубины при переходе потока из бурного состояния в спокойное. От глубины h’ меньше критической к глубине h” больше критической. Глубины h’ и h” называются сопряженными. Величина a = h” – h’ называется высотой прыжка, а величина lп длиной прыжка.
| Воспользуемся теоремой количества движения
![]()
![]()
|

|
|
- прыжковая функция
Основное уравнение прыжка в прямоугольном русле
;
; 










Длина прыжка
Формула Павловского
.
Формула Сафранеца
.
Потери энергии в прыжке
.
Виды прыжка
h’ 0,6 hк
| совершенный |
0,6 hк < h’ 0,7 hr
| несовершенный |
0,7 hк < h’ 0,85 hr
| затухающая волна |
0,85 hк < h’ hr
| периодическая волна |
- затопленный
- несвободный
- отогнанный
- надвинутый
- косой
Водосливы
Преграда в потоке в виде стенки (порога), через которую осуществляется перелив жидкости.
Перед сооружением происходит торможение, что сопровождается подъемом уровня и накоплением энергии, необходимой для его преодоления.
Классификация
1. по геометрической форме отверстия: прямоугольные; треугольные; трапециидальные; круговые; параболические.
2. по типу водосливной стенки: с тонкой стенкой
; с широким порогом
; практического профиля.
3. по расположению в плане: лобовые; косые; боковые; полигональные; криволинейные; замкнутые.
4. по характеру сопряжения с нижним бьефом: подтопленные и неподтопленные.
5. по соотношению ширины отверстия и ширины русла: с боковым сжатием и без бокового сжатия.
6. со свободным истечением и с несвободным истечением.
Водослив с тонкой стенкой
Прямоугольный водослив

Нормальный водослив 

Подтопленный водослив с тонкой стенкой
1. горизонт воды нижнего бьефа располагается выше гребня водослива 
- в нижнем бьефе спокойный режим движения

Базен 
Треугольный водослив с тонкой стенкой 
Томсон 
Водослив с широким порогом




Способ Беланже

h = 0 q = 0
h = H0 q = 0







m = 0,32 m = 0,35
Способ Бахметьева
i = B
3) h (b + m h) = A
C
. Из рисунка видно, что
или
. Следовательно
.
. Глубины вдоль потока увеличиваются следовательно это кривая подпора. При этом отметки свободной поверхности уменьшаются.

0,6 hк






