Первоначально разработанная сетевая модель обычно не является лучшей по срокам выполнения работ и использования ресурсов. Поэтому исходная сетевая модель подвергается анализу и оптимизации по одному из ее параметров.
Анализ позволяет оценить целесообразность структуры модели, определить степень сложности выполнения каждой работы, загрузку исполнителей работ на всех этапах выполнения комплекса работ.
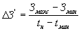
Относительная сложность соблюдения сроков выполнения работ на некритических путях характеризуется коэффициентом напряженности работ
:
,
где
— продолжительность максимального пути, проходящего через данную работу;
— продолжительность отрезка этого пути, совпадающего с критическим путем;
— продолжительность критического пути.
Чем больше коэффициент напряженности, тем сложнее выполнить работы в установленные сроки.
Используя понятие "резерва времени пути",
можно определить следующим образом:
.
При этом необходимо иметь в виду, что резерв времени R(Li) пути Li может быть распределен между отдельными работами, находящимися на указанном пути, только в пределах зависимых резервов времени этих работ.
|
|
|
Величина коэффициента напряженности у разных работ в сети лежит в пределах 0
<1.
Для всех работ критического пути
равен единице. Величина коэффициента напряженности помогает при установлении плановых сроков выполнения работ оценить, насколько свободно можно располагать имеющимися резервами времени. Этот коэффициент дает исполнителям работ представление о степени срочности работ и позволяет определить очередность их выполнения, если они не определяются технологическими связями работ.
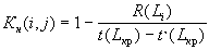
Для анализа сетевой модели используется коэффициент свободы
(i,j), который показывает степень свободы или независимости циклов работ, имеющих свободный резерв времени, а также показывает, во сколько раз можно увеличить длительность работы t(i, j), не влияя на сроки свершения всех событий и остальных работ сети:
.
При этом
(i, j)>1 всегда. Если
(i, j)1, то это указывает на отсутствие независимого резервного времени у работы (i,j).
Оптимизация сетевых моделей по одному из ее параметров может быть осуществлена графическим или аналитическим методом. Решая задачу оптимизации сетевой модели, обычно рассчитывают минимальную продолжительность выполнения комплекса работ при ограничениях на используемые ресурсы.
Оптимизация сетевой модели, осуществляемая аналитическим методом, заключается в том, что в ее основу положена та закономерность, при которой время выполнения любой работы (t) прямо пропорционально ее объему (Q) и обратно пропорционально числу исполнителей (m), занятых на данной работе:
|
|
|
.
Время, необходимое для выполнения всего комплекса работ
, определяется как сумма длительностей составляющих работ:
.
Однако рассчитанное таким образом общее время не будет минимальным, даже если количество исполнителей соответствует трудоемкости этапов.
Минимальное время для комплекса последовательно выполняемых работ и других разновидностей фрагментов сетевых моделей можно найти методом условно-эквивалентной трудоемкости.
Под условно-эквивалентной трудоемкостью понимают такую величину затрат труда, при которой численность исполнителей эквивалентной специальности распределяется между составляющими работами, обеспечивает наименьшее время их исполнения.
Условно-эквивалентная трудоемкость определяется по формуле:
,
где
— трудоемкости предшествующей и последующей работ.
Минимальное время выполнения работ будет обеспечено при следующем распределении работающих по этапам:
,
,
где
— общее количество работающих на определенных этапах.
Графический метод оптимизации сетевой модели — "время-затраты"
Метод "время-затраты" заключается в установлении оптимального соотношения между продолжительностью и стоимостью работ.
Определение затрат и ресурсов, необходимых для выполнения каждой работы, производится после разработки сетевого графика.
Таким образом, материальные и трудовые ресурсы планируются на основе общей структуры сети, созданной с помощью прогнозирования временных оценок.

Рис. 7. График "время-затраты"
Для построения графиков "время-затраты" (рис. 7) для каждой работы задаются:
- минимально возможные денежные затраты
на выполнение работы (при условии выполнения работы за нормальное время
);
- минимально возможное время выполнения работы
при максимальных денежных затратах
.
При определении первой пары оценок упор делается на максимальное сокращение затрат, а при определении второй — на максимальное сокращение времени.
Приближенно определить размеры дополнительных затрат, необходимых для сокращения срока выполнения работы, или решить обратную задачу возможно с помощью графика с аппроксимирующей прямой. Величина дополнительных денежных затрат, необходимых для выполнения работы в сокращенное время
, составит
.
Для каждого вида работ рассчитывается и строится свой график, характеризующийся наклоном аппроксимирующей прямой.
Используя линейную зависимость "затраты-время" для каждого вида работ, можно вычислить коэффициент возрастания затрат
на единицу времени:
.
Экономическая эффективность от внедрения СПУ определяется в первую очередь возможностями уменьшения общего цикла работ и сокращением затрат за счет более рационального использования трудовых, материальных и денежных ресурсов.
Уменьшение длительности комплекса работ обеспечивает сокращение сроков окупаемости инвестиций, более раннему выводу товара на рынок, что способствует конкурентному успеху фирмы.