ТРЕНИРОВОЧНОЕ ЗАДАНИЕ
Задача 1. Определение оптимального размера заказа. По данным учета затрат стоимость подачи одного заказа составляет 300 руб., годовая потребность в комплектующем изделии — 1500 шт., цена единицы комплектующего изделия — 660 руб., стоимость содержания комплектующих на складе равна 20% их цены. Определить оптимальный размер заказа на комплектующие изделия исходя из минимума суммарных затрат.
Суммарные затраты на содержание запасов складываются из трех элементов: цена заказываемых комплектующих изделий; стоимость сравнения запасов комплектующих изделий; суммарная стоимость подачи заказов (стоимость форм документации, затраты на разработку условий поставки, на контроль выполнения заказа и т.д.).
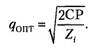
Суммарные затраты рассчитываются по формуле

где Z — цена единицы комплектующего изделия;
Р — потребность в комплектующих;
q — размер партии поставки;
С — стоимость подачи одного заказа;
i — доля затрат на хранение в закупочной цене.
Величину затрат Зсум необходимо минимизировать. Для этого возьмем производную по q и полученное выражение приравняем к нулю. Далее из полученного выражения найдем величину заказываемой партии, при которой суммарные затраты будут минимальны. Получим:
|
|
|

Рассчитанный оптимальный размер заказа комплектующего изделия будет равен

Дробный результат обычно округляют в большую сторону. С учетом этого оптимальный размер заказа на комплектующее изделие составляет 83 шт.
Задача 2. Расчет выхода готового продукта из сырья. Для изготовления продукта материальных ресурсов требуется больше, чем их количество в готовом продукте. Это вызвано их потерями при производстве. Именно поэтому рассчитывают показатель выхода (или извлечения) готового продукта из сырья — Вгп (например, сахара из сахарной свеклы, металла из руды). Определяется он так: количество произведенной продукции (Q) делится на количество исходного сырья (Си) и умножается на 100%:

Зная «выход» сахарного песка из свеклы, можно рассчитать количество сахарной свеклы для производства 300 кг сахара. Если показатель Вгп = 30%, то сахарной свеклы понадобится 1000 кг [(100% х 300 кг): 30%]. Другими словами, из 1000 кг сахара (общей нормы расхода материального ресурса — сахарной свеклы) получается «чистый выход» сахара весом 300 кг. Остальные 700 кг сахарной свеклы идут на потери и отходы.
Задача 3. Определение коэффициента использования материальных ресурсов. Фактический коэффициент использования материалов КШФ. Он определяется отношением полезного расхода Q4 (чистой массы составной части изделия, сделанной из одного материала) к фактическому расходу Qa>, связанному с изготовлением части изделия материала:
|
|
|

Если этот коэффициент (например, стали на одно изделие) будет равен 75%, то для изготовления изделия потребуется стали на 25% больше, чем непосредственно ее расходуется на готовое изделие.