Идеальный газ — простейшая модель МКТ. Частицы идеального газа:
• движутся согласно законам классической механики;
• имеют пренебрежимо малый размер;
• взаимодействуют друг с другом только при соударениях, которые можно считать абсолютноупругими.
Поступательное движение частиц идеального газа в основном хаотическое: многократно сталкиваясь друг с другом и со стенками, они беспорядочно изменяют направление и величины своих скоростей.
Давление газа на стенку в этой модели объясняется передачей частицами части импульса стенке при упругих соударениях.
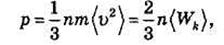
Основное уравнение идеального газа МКТ:

где п — концентрация частиц газа; т — масса частицы; (
— средний квадрат скорости частиц; (Wk) — их средняя кинетическая энергия.






