Находящиеся в верхней зоне нагретые дымовые частицы излучают тепловую энергию. При определенных условиях плотность излучаемого вниз теплового потока становится опасной для людей, эвакуирующихся из помещения. Численные оценки показывают, что такая ситуация возникает, когда температура верхней зоны становится равной 180-200°С. Таким образом, время достижения этой температуры можно рассматривать как критическую для людей продолжительность пожара. В основном оно зависит от характеристик горючей нагрузки и размеров помещения.
Сформулированная выше система уравнений с точки зрения математики представляет собой задачу Коши с начальными условиями. Вследствие нелинейности получение аналитического решения системы возможно лишь для простейших случаев.
Вопрос 3. Частный случай решения системы дифференциальных уравнений зоной математической модели (по времени 15мин)
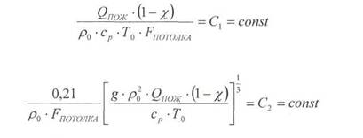
| В этом случае будем иметь |
|
| Далее отметим, что |
| Следовательно, имеем следующее уравнение: |
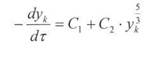
Рассмотрим частный случай, когда
|
|
|



Разделим переменные проинтегрируем полученное уравнение:

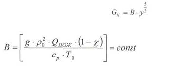
С помощью полученного уравнения рассчитываем изменение координаты границы припотолочного слоя с течением времени.






