ЛЕКЦИЯ
ЛЕКЦИЯ
Выводы
Характерной особенностью струйного метода при многокрасочной печати является также возможность осуществления одновременного нанесения всех красок для однопроцессного получения готовых репродукций цветных изображений. Одновременное запечатывание одного и того же участка поверхности всеми красками позволяет решить проблемы приводки однокрасочных изображений при синтезе на отпечатке многокрасочных, устранить муар и обеспечить высокую резкость и четкость многокрасочного изображения.
Струйный метод не предъявляет особых требований к качеству и микрогеометрии поверхности запечатываемого материала. Струйная подача краски обеспечивает простоту заполнения всех микронеровностей запечатываемой поверхности и позволяет достичь высокой интенсивности и яркости отпечатка при минимальной толщине красочного слоя на нем.
Таким образом, наиболее существенными достоинствами струйной печати являются:
• возможность полного программирования процесса печати и одностадийность его проведения;
|
|
|
• решение всех проблем, связанных с изготовлением печатной формы и с ее износом;
• высокая скорость печатания;
• большая разрешающая способность процесса печати;
• возможность печати на самых разнообразных по фактуре поверхности, по составу и механическим свойствам материалах (бумага, пластмассы, металлы, ткани и т.д.);
• оперативное модулирование программ печатания с помощью запоминающего устройства компьютера, клавиатуры или другого носителя цифровой информации;
• устранение сложностей, связанных с приводкой красок при печати многокрасочных изображений (все краски, необходимые для воспроизведения оригинала, наносятся на запечатываемый материал одновременно);
• низкая себестоимость на коротких тиражах и печать переменных данных.
Струйная печать используется в оборудовании следующих типов:
— в принтерах различного класса от дешевых персональных до дорогих принтеров профессионального назначения;
— плоттерах (широкоформатных принтерах с рулонной подачей бумаги);
— цифровых печатных машинах.
В настоящее время струйная печать достигла высокого уровня как в техническом отношении, так и в обеспечении стабильного и высокого качества изображения. С простотой процесса связана низкая стоимость струйных принтеров, особенно офисных. У профессиональных устройств цена еще высокая из-за дороговизны печатающих головок и программного обеспечения такого оборудования.
РАЗДЕЛ 2: ЗОННАЯ МАТЕМАТИЧЕСКАЯ МОДЕЛЬ ПОЖАРА В ПОМЕЩЕНИИ
ТЕМА 7: ЧИСЛЕННАЯ РЕАЛИЗАЦИЯ ЗОННОЙ МАТЕМАТИЧЕСКОЙ МОДЕЛИ
АВТОР: доцент кафедры к.п.н.
|
|
|
Шемятихин В.А.
Время: 2 часа
Обсуждена на заседании кафедры
Протокол № ______________
от «____»___________ 20_____г.
Екатеринбург 2012
РАЗДЕЛ 2: ЗОННАЯ МАТЕМАТИЧЕСКАЯ МОДЕЛЬ ПОЖАРА В ПОМЕЩЕНИИ
ТЕМА 7: ЧИСЛЕННАЯ РЕАЛИЗАЦИЯ ЗОННОЙ МАТЕМАТИЧЕСКОЙ МОДЕЛИ
Цели лекции:
Учебные: Сформулировать и дать представление о:
1) математической постановке задачи при газообмене припотолочного слоя с внешней средой и изменяющемся со временем очагом пожара;
2) алгоритме численного решения задачи.
Воспитательные: Воспитывать стремление к углубленному изучению материала.
Развивающие: Развивать способность воспринимать, оценивать и конспектировать предоставляемый материал.
Методы, применяемые на занятии: информационная лекция.
Время: 80 мин
Место проведения: лекционная аудитория
Учебно-материальное обеспечение: технические средства обучения
Литература, использованная при подготовке лекции:
1. основная:
- Кошмаров Ю.А. Прогнозирование опасных факторов пожара в помещении: учебное пособие / Ю.А. Кошмаров. – М.: Академия ГПС МВД России, 2000. – 118 с.;
- Пузач С.В., Смагин А.В., Лебедченко О.С., Абакумов Е.С. Новые представления о расчете необходимого времени эвакуации людей и об эффективности использования портативных фильтрующих самоспасателей при эвакуации на пожарах. Монография. – М.: Академия ГПС МЧС России, 2007. – 222с.
- Пузач С.В. Методы расчета тепломассообмена при пожаре в помещении и их применение при решении практических задач пожаровзрывобезопасности зданий: монография / С.В. Пузач. – М.: Академия ГПС МЧС России, 2005. — 336 с.
2. дополнительная:
- Алексашенко А.А. Тепломассоперенос при пожаре / А.А. Алексашенко, Ю.А. Кошмаров, И.С. Молчадский. – М.: Стройиздат, 1982. – 173 с.;
- Субачева А.А. Прогнозирование опасных факторов пожара: лабораторный практикум. В 2 ч. Ч.1. Интегральная математическая модель пожара в помещении. / А.А. Субачева, С.В. Субачев, Д.И. Терентьев, Н.М. Барбин. — Екатеринбург: Уральский институт ГПС МЧС России, 2010. — 43 с.
3. нормативно-правовые документы:
- ГОСТ 12.1.004–91. Пожарная безопасность. Общие требования. – М.: Государственный стандарт союза ССР: Издательство стандартов, 1992. – 78 с.
- Федеральный закон Российской Федерации от 22 июля 2008 г. №123-ФЗ «Технический регламент о требованиях пожарной безопасности».
ПЛАН ЛЕКЦИИ:
1. Организационная часть лекции: проверка готовности студентов к занятию, отмечаются в журнале отсутствующие (3 мин).
2. Введение (по времени 10минут)
Вопросы лекции:
1. Математическая остановка задачи при газообмене припотолочного
слоя с внешней средой и изменяющемся со временем очагом пожара (по времени 15мин)
2. Алгоритм численного решения системы дифференциальных уравнений
(по времени 25 мин)
3. Частный случай решения системы дифференциальных уравнений зоной
математической модели (по времени 15 мин).
4. Заключение (по времени 10 мин).
5. Задание на самоподготовку (по времени 2 мин).
Введение (по времени 10 минут)
После воспламенения горючих веществ или материалов продукты горения, имеющие меньшую плотность, чем окружающий воздух, устремляются верх, образуя над очагом горения свободную конвективную струю (конвективную колонку). За счет инжекции воздуха температура и скорость газа в конвективной колонке с высотой уменьшаются, а площадь сечения колонки им массовый расход газа в ней увеличиваются. Достигнув потолка помещения, продукты горения растекаются под ним в виде радиальной струи, температура и скорость в которой по мере удаления от оси уменьшаются за счет тепломассообмена с окружающей средой и строительными конструкциями. После достижения радиальной струей стен помещения начинается образование нагретого припотолочного слоя дыма,
толщина которого увеличивается вследствие поступления в слой смеси продуктов горения и воздуха из конвективной колонки.
|
|
|
Таким образом, процесс задымления помещения при пожаре можно разбить а два этапа. На первом этапе происходит растекание нагретого дыма под потолком помещения в виде радиальной струи, на втором этапе - рост толщины нагретого слоя дыма, включающего радиальную струю и верхнюю часть конвективной колонки. Соответственно в объеме помещения можно выделить следующие характерные зоны: факел пламени с конвективной колонкой над ним, припотолочный слой нагрето дыма и воздушную зону с практически неизменной температурой. Эти зоны особенно отчетливо наблюдаются при локальных пожарах, когда размеры очага горения значительно меньше размеров помещения.
Вопрос 1. Математическая остановка задачи при газообмене припотолочного слоя с внешней средой и изменяющемся со временем очагом пожара (по времени 15 мин)
Основу зонной моделипожара составляет совокупность нескольких систем обыкновенных дифференциальных уравнений. Параметры состояния среды в каждой зоне являются искомыми функциями, независимым аргументом является время (т). Искомыми функциями являются также координаты, определяющие положение границ характерных зон.

Рис.1. Схема расчета тепломассообмена в помещении при пожаре: по зонной модели:
1 - стены; 2 - перекрытие; 3 - открытый проем; 4 - горючий материал; 5 - очаг горения;
б - нейтральная плоскость; 7 - система пожаротушения; 8 –механическая вентиляция; I, II, III - номера зон
Уравнение состояния смеси идеальных газов
имеет вид: P= ρRT, (3.7)
где R - газовая постоянная смеси.
При отсутствии проемов в верхней части помещения и без учета механической вентиляции уравнение баланса припотолочного слоя дыма:

где Мд - масса слоя дыма, кг; τ - время с момента возникновения пожара, с; Gr — массовый расход газов, поступающих в слой из конвективной колонки или непосредственно из очага горения, кг/с.
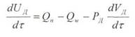
Уравнение баланса энергии
Теплообмен слоя дыма с факелом пламени и ограждающими конструкциями в нижней зоне помещения мал по сравнению с тепловыми потоками из конвективной колонки. Поэтому уравнение сохранения энергии припотолочного слоя дыма при отсутствии вентиляции будет
|
|
|

где UД — внутренняя энергия слоя дыма; Qп — тепловой поток, подводимый из конвективной колонки или непосредственно из очага горения, кг/с; Qw -тепловой поток, отводимый в ограждающие конструкции, Вт; РД -оптическое давление газов в задымленном слое, Па; VД - объем задымленного слоя, м3.
Свободная граница ниже основания очага:

η - массовая полнота сгорания, Qнр - низшая теплота сгорания ГН, Дж/кг; In -энтальпия продуктов газификации ГН, Дж/кг.
Свободная граница находится выше основания очага:
|
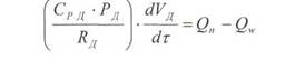
СрК и Тк- изобарная теплоемкость и температура газов в конвективной
колонке на высоте свободной границы, Дж/кг-К. Тогда уравнение энергии преобразуется к виду:

Срд и Rд- изобарная теплоемкость и приведенная газовая постоянная задымленного слоя, Дж/кг-К. При τ=0, Уд(0)=0. СРд, Рд, Rдпринимают постоянными.
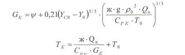
Дополнительные соотношенияВеличина потока из конвективной колонки:
|
Yo - высота расположения очага горения, м; ж - коэффициент, учитывающий лучистый теплообмен очага и конвективной колонки с ограждающими конструкциями; g - ускорение свободного падения, м/с2; р0 и То - начальные значения плотности и температуры воздуха в помещении, кг/м3 и К.
|
Нп и Fn - высота и площадь помещения. ТД - температура дыма:

причем при T=0, Тд=Т0.
Рассмотренная система уравнений используется для расчета усредненных параметров припотолочного слоя дыма и высоты свободной границы (границы раздела между этим слоем и слоем чистого воздуха) в зависимости от времени. Расчет производят путем интегрирования балансовых уравнений припотолочного слоя дыма с учетом начальных условий.
Вопрос 2. Алгоритм численного решения системы дифференциальных уравнений (по времени 25 мин)
При разработке зонных математических моделей развития пожара в помещении параметры очага горения и конвективной колонки, как правило, сдаются в виде полуэмпирических зависимостей, полученных в результате предварительного теоретического анализа и обработки экспериментальных данных. С помощью зонных моделей рассчитываются усредненные параметры припотолочного слоя дыма и высота свободной границы (границы раздела между этим слоем и слоем чистого воздуха) в зависимости от времени. Расчет производится путем интегрирования балансовых уравнений припотолочного слоя дыма с учетом начальных условий.
Алгоритм численного решения системы дифференциальных уравнений для первой фазы начальной стадии пожара в помещении с открытым дверным проемом основан на итерационно методе предсказания - коррекции 1-го прядка с постоянным шагом, стартующий по методу Рунге-Кута также для 4-го порядка с постоянным шагом. Расчет правых частей уравнений состоит в последовательном применении приведенных ранее основных соотношений.
В начальной стадии пожара размеры его очага, как правило, значительно меньше размеров помещения. В этом случае в верхней зоне помещения формируется относительно устойчивый слой нагретых газов и взвешенных в них частиц дыма, а нижняя зона остается заполненной практически чистым воздухом с низменной температурой.
Средняя температура в припотолочном слое газа определяется по формуле:
|
(1)
где То и ро - температура и плотность холодного (окружающего) воздуха;
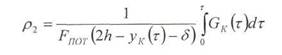
значение р2 - плотность газовой среды в припотолочной зоне определяют из уравнения
|
(2)
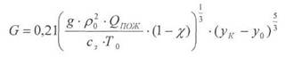
где Fпот - площадь потолка, 2h - высота помещения; δ - расстояние от пола до поверхности горения; ук(т) - координата нижней границы припотолочного слоя, Gk — поток газа из конвективной колонки в припотолочный слой,
рассчитывается из соотношения
|
(3)
где g - ускорение свободного падения, χ - доля, приходящаяся на поступающую в ограждения теплоту от выделившейся в очаге горения.






