Срок кредитования варьируется от 1 года до 25 лет.
При получении субсидируемого кредита на вторичном/первичном рынке процентная ставка за пользование кредитом составит 12% годовых в рублях РФ (10,5% для категории клиентов «молодой специалист»), при получении коммерческого кредита на первичном рынке у ЗАО «Желдорипотека» или НО «Фонд Жилсоципотека» - 14% годовых в долларах США;13,5% годовых в рублях РФ (при первоначальном взносе 10%); 13% годовых в рублях РФ (при первоначальном взносе 20%); 12,5% годовых в рублях РФ (при первоначальном взносе 30%);на вторичном рынке - 13,5% годовых в рублях РФ (при первоначальном взносе 10%); 13% годовых в рублях РФ (при первоначальном взносе 20%); 12,5% годовых в рублях РФ (при первоначальном взносе 30%).
Обеспечением кредита при покупке объекта недвижимости на этапе строительства выступает поручительство юридического лица или залог прав требования по договору участия в долевом строительстве, а обеспечением кредита при покупке объектов недвижимости с зарегистрированным на момент приобретения правом собственности является залог приобретаемого объекта недвижимости.
В случае выбора заемщиком иных условий страхования до оформления кредита (при отсутствии страхования жизни/трудоспособности и/или страхования риска утраты права собственности) устанавливается процентная ставка по кредиту выше на 2 процентных пункта от уровня базовой ставки.
Комиссии банка по субсидируемым кредитам составляет 1,5 тыс. рублей (в соответствии с тарифами РК и ДО), по коммерческим кредитам - 1% от суммы кредита (в соответствии с тарифами РК и ДО).
Платеж по кредиту может составлять до 50% размера «чистого» ежемесячного дохода заемщика/созаемщиков (членов семьи заемщика) по субсидируемым кредитам; до 40% размера «чистого» ежемесячного дохода заемщика/созаемщиков (членов семьи заемщика) по коммерческим кредитам.
Необходимо наличие у работника ОАО «РЖД» собственных средств, достаточных для оплаты первоначального взноса в счет оплаты приобретаемой квартиры, а также уплаты комиссий банка и сопутствующих сделке расходов.
При предоставлении субсидии, в том числе для железнодорожников, имеющих статус «молодой специалист», требования к стажу работы отсутствуют. Без предоставления субсидии непрерывный стаж работы в железнодорожной отрасли должен составлять не менее 1 года.
На этапе строительства договор поручительства заключается с продавцом объекта недвижимости на объем обязательств в сумме основного долга по договору ипотечного кредита, увеличенного на 10%.
Многообразие методов погашения ипотечного кредита объясняется необходимостью достижения и поддержания баланса интересов ипотечных кредиторов и заемщиков в различных экономических условиях. Наиболее распространенными методами являются:
· погашение кредита равными срочными уплатами;
· неполное погашение задолженности равными срочными уплатами с выплатой остатка долга в конце срока;
· погашение кредита на основе роста ежемесячных платежей в течение определенного периода;
· погашение кредита на основе постоянного периодического увеличения размера взносов;
· погашение кредита с предоставлением льготного по платежам периода.
На практике, как правило, используется только один метод. Поэтому рассмотрим последовательно и подробно каждый из заявленных методов и определим методы, наиболее выгодные для кредитора и заемщика.
Погашение кредита равными срочными уплатами. Платежи, как правило, осуществляются несколько раз в году (р – раз), проценты начисляются также несколько раз в году (m – раз) в конце или в начале периода (месяца, квартала, года). При осуществлении платежей за кредит по этой схеме – это будут, соответственно, ренты постнумерандо и пренумерандо.
При использовании сложных процентов и ренты постнумерандо, в общем виде, для определения срочной уплаты (т.е., годовой суммы выплат, включающей часть долга и сумму начисленных за год процентов) можно использовать формулу:
(5.1.)
где D – размер выданной ссуды (кредита);
– коэффициент приведения p-срочной ренты;
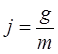
g - % ставка за кредит из расчета годовых;
n - срок кредита в годах;
р - число выплат в течение каждого года (например, 12 при ежемесячных выплатах, 4 – при ежеквартальных);
m – количество начислений % в течение каждого года.
Если платежи в счет погашения кредита производятся р - раз в году в конце каждого периода в течение n - лет из расчета g - % годовых, а проценты начисляются m – раз в году, то коэффициент приведения определяется по формуле:
(5.2.)
(4.1.)
При использовании сложных процентов и ренты пренумерандо (т.е., выплаты по кредиту и начисление процентов будут производиться в начале периодов) в общем виде для определения срочной уплаты можно использовать формулу:
(5.3.)
Размер одной выплаты (R) можно определить по формуле:
(5.4.)
где p – число платежей в течение года.
Общая сумма погашения кредита определяется по формуле:
(5.5.)
Современная величина этого потока платежей за кредит (А) определится по формуле:
(5.6.)
где
- ставка дисконтирования (приведения), % из расчета годовых.
Ставка дисконтирования должна быть равна действительной стоимости денег, т.е., ставке денежного рынка. При определении ставки дисконтирования следует учитывать долговременную динамику % ставки по кредитам.
Сумма процентов за кредит за весь срок определяется по формуле:
(5.6.)
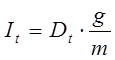
Сумма процентов за период (It) определяется по формуле:
![]() |
(5.7.)
Остаток долга на начало следующего за t-м периода определится по формуле:
(5.8.)
Ежемесячная сумма в счет погашения основного долга (dt) определится по формуле:
![]() |
(5.9.)
Остаток долга на начало любого периода определится по формуле:
![]() |
(5.10.)
где - долг на начало первого месяца;

- сумма в счет погашения основного долга, выплаченная в первом месяце;
- - коэффициент наращения постоянной ренты постнумерандо.
Определяется по формуле:
![]() |
(5.11.)
Неполное погашение задолженности равными срочными уплатами с выплатой остатка долга в конце срока. Условия погашения ипотечного кредита позволяют уменьшить размеры периодических взносов. Срочные уплаты рассчитываются таким образом, чтобы они не покрывали всей задолженности; остаток долга (обозначим его как B) выплачивается в конце срока. Уравнение, балансирующие условие ипотеки, выглядит следующим образом:
(5.12.)
где R - размер одной выплаты за период меньший года (месяц, квартал, полугодие);
N=n*p – общее число выплат за весь срок кредита;
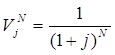
j – ставка % за период (за месяц, квартал); (5.13.)

(5.14.)
Баланс достигается одним из следующих способов:
1) задается размер срочных уплат, расчетным путем определяется остаток долга - B;
2) задается B, расчетным путем определяется срочная уплата.
Остаток долга по первому способу определяется по формуле, полученной из балансировочного уравнения путем несложных преобразований:
B = (D - R*aN;j) * (1+j)N (5.15.)
(5.16.)
Погашение кредита на основе роста ежемесячных платежей в течение определенного периода. Месячная выплата по данному методу в начале срока выплат минимальна. Затем, на некотором заданном интервале времени, она начинает увеличиваться с заданным темпом роста. После этого повышения до конца срока погашения кредита остается неизменной.
Первый месячный платеж находится по следующей формуле:
(5.17.)
где k – число месяцев, на протяжении которых предусматривается рост платежей;
Т – число месяцев, на протяжении которых ежемесячные платежи будут постоянными;
g – ежемесячный темп роста платежей в течение периода k, %.
В течение заданных k –месяцев платежи будут расти и их сумму находим по следующей формуле:
(5.18.)
где t – номер месяца периода роста платежей.
Во втором периоде расходы заемщика будут постоянной величиной, которую можно определить по формуле:
(5.19.)
Погашение кредита на основе постоянного периодического увеличения взносов. При данном методе задается последовательность взносов, которые увеличиваются через равные интервалы времени. Для того, чтобы сбалансировать данную схему размер последнего взноса не задается, он определяется по сумме остатка задолженности.
Обозначим величины срочных выплат как R1,…., Rt. Пусть увеличение взносов происходит через равные интервалы m – месяцев (ниже в примере – через 12 месяцев). Для определения размер последнего взноса найдем сумму современной стоимости уплаченных взносов от первого до t-1 года на начало операции (Аt-1).
(5.20.)
где t – номер периода, соответствующий одинаковой последовательности срочных выплат (например, для R = $210 t = 2)
Современная стоимость непокрытой взносами задолженности будет равна:
(5.21.)
Размер месячной выплаты в периоде, когда она будет постоянной, определим по следующей формуле:
(5.22.)
Погашение кредита с предоставлением льготного по платежам периода (принимаем для примера, что во время льготного периода выплачиваются только проценты, поэтому основная сумма долга не изменяется).
Современная (приведенная) стоимость потока платежей, связанных с погашением ипотечного кредита
С целью определения наиболее выгодного для заемщика варианта погашения кредита используем показатель «современная (приведенная) стоимость потока платежей, связанных с погашением кредита». Данный показатель является обобщающей характеристикой потока платежей и позволяет выбрать вариант с наименьшей его величиной, который является наиболее выгодным для заемщика и наименее выгодным для банка.
В качестве процентной ставки для примера сравнения различных вариантов погашения ипотечного кредита примем ставку i*=15% годовых (по правилу «больше большего»).
Рассчитаем современную (приведенную) величину платежей заемщика (А) для каждого метода погашения ипотечного кредита.



