Морская карта. Требования к ее содержанию и оформлению
Введение
Морские навигационные карты - незаменимое руководство для плавания. С их помощью судоводитель еще до выхода судна в море изучает район плавания, намечает наиболее безопасный и выгодный маршрут.
Во время плавания на таких картах ведут навигационную прокладку пути судна по счислению, корректируют ее обсервациями, непрерывно следят за навигационной безопасностью плавания судна.
С помощью морских навигационных карт и судового журнала выясняют все обстоятельства плавания и устанавливают характер действия лиц, ответственных за управление судном.
Именно морская навигационная карта является основным юридическим документом при судебном разбирательстве причин навигационной аварии или столкновения судна.
Ни один международный договор либо соглашение по вопросам судоходства, рыболовства, установления морских государственных и других границ не могут быть разработаны без использования морских карт.
Карта – уменьшенное изображение земной поверхности или отдельных ее участков на плоскости, выполненное по определенному математическому закону.
|
|
|
Морская карта – графическое изображение на плоскости (бумаге) водных районов Земли и прилегающих к ним участков суши, выполненное в определенной картографической проекции и определенном масштабе.
На морских картах элементы морской обстановки изображены с особой подробностью, а остальные элементы носят подчиненный характер или вовсе опущены.
Морская карта служит основным пособием для плавания судна и предназначена для обеспечения мореплавания и использования природных ресурсов. На ней условными знаками обозначены берега, глубины, навигационные опасности, СНО, помогающие определению места судна в море.
Морские карты предназначены для графического решения задач судовождения, изучения района плавания, получения наглядного представления о местности и физико-географических, гидрологических и специальных сведений по данному району.
Морские карты должны удовлетворять следующим требованиям по содержанию и оформлению:
- обеспечивать удобство и простоту графических построений;
- обладать геометрической точностью, соответствующей их назначению;
- наиболее полно отображать элементы морской обстановки и побережья;
- иметь достоверные элементы морской и общегеографической обстановки;
- быть удобными для использования в стесненных судовых условиях.
Для графического учета плавания судна на навигационной карте ведется прокладка его пути, а также прокладываются направления на различные ориентиры → линии пеленгов. Для удобства пользования навигационной картой необходимо, чтобы линия курса изображалась на карте прямой линией. Курс и пеленг определяются на поверхности Земли как углы между меридианом и направлением ДП судна или направлениями на выбранные для пеленгования объекты. Углы на картографической проекции, применяемой в навигации, должны быть равны углам на поверхности Земли.
|
|
|
Отсюда и два основных требования к навигационной карте:
- линия курса судна – локсодромия – должна изображаться на карте прямой линией;
- картографическая проекция должна быть равноугольной.
Если курс судна будет 0° или 180°, то линия курса совпадает с меридианом, значит, меридианы должны быть прямыми линиями.
Если курс судна будет 90° или 270°, то линия курса совпадает с параллелью (или экватором), значит и параллели (и экватор) должны быть тоже прямыми линиями.
Чтобы линия курса пересекала различные меридианы под равными углами необходимо, чтобы все меридианы на карте были параллельны.
Все параллели на карте также будут параллельны.
И все меридианы будут перпендикулярны параллелям и экватору.
Чтобы изобразить тот или иной участок земной поверхности на карте, необходимо предварительно уменьшить его размеры. Для удобства введено понятие условный глобус, т.е. глобус, подобный земному эллипсоиду, степень уменьшения которого называется общим или главным масштабом карты. Карта же изображает земную поверхность или часть ее уже с условного глобуса в масштабе 1:1.
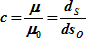
Вследствии наличия искажений в картографии различают главный масштаб (μ0) и частный масштаб (μ).
Масштабом в данной точке карты называется отношение бесконечно малого отрезка (ds), взятого около данной точки по данному направлению, к горизонтальной проекции соответствующего ему отрезка на местности (dSo).
Главный масштаб характеризует общее уменьшение изображения, а частный масштаб характеризует степень уменьшения только в данной точке карты. Отношение частного масштаба в данной точке по данному направлению к главному масштабу называется увеличением масштаба и характеризует степень искажения проекции или масштаб карты по отношению к условному глобусу:
|
Увеличение масштаба характеризует изменение частного масштаба и представляет собой множитель, на который нужно умножить главный масштаб, чтобы получить частный:
μ = с · μ0 или |
Чем ближе увеличение масштаба (с) к единице во всех точках карты, тем лучше и совершеннее выбранная для данной карты проекция.
Разность между увеличением масштаба (с) и единицей (1) называется относительным искажением длин или просто искажением длин:
|
Например: если μ0 =1:500.000, а μ = 1:434.780, то с = 1,15 а, υ = +15%. Таким образом, действительное расстояние на местности, соответствующее данному отрезку карты (5 см), будет равно не 25 км, а 21,739 км. (25 км:1,15).
На картах масштаб выражается в двух видах: численном и линейном.
Численным или числовым масштабом называется отношение данной линии на условном глобусе к длине соответствующей ей линии на местности. Числовой масштаб изображается в виде дроби: 1/50.000; 1/750.000 и т.д.; знаменатель показывает, какова степень уменьшения длин на условном глобусе. Числовой масштаб может быть задан и в таком виде:
1:100.000; 1:250.000; 0,000001; 0,00004 и т.д.
При графической работе на карте применяется линейный масштаб, показывающий число единиц, принятых для измерения длин на местности (км, мили), содержащихся в единице, принятой дли измерения длин на карте (мм, см.)
На морской навигационной карте (МНК) в проекции Меркатора линейный масштаб разбивается вдоль боковых рамок карты. На топографических и географических картах линейный масштаб изображается в виде короткой шкалы под нижней рамкой карты.
Масштаб на МНК в проекции Меркатора, оставаясь постоянным по всем направлениям в любой точке, меняется от точки к точке с изменением широты. На главной параллели увеличение масштаба равно единице и искажения длин отсутствуют. Частный масштаб в любой точке карты равен увеличению масштаба.
|
|
|
Таблица 4.1.- Значения экваториального масштаба по масштабу и широте главной
параллели (из табл. 2.30 «МТ-2000»)

Таблица предназначена для перевода масштабов по главным параллелям указанным на картах в проекции Меркатора в экваториальный масштаб и рассчитана по формуле:
| Cэкв = CГП · sec φГП |
| где | Cэкв – знаменатель масштаба карты, приведенного к экватору; |
| СГП (С0) – знаменатель масштаба карты по главной параллели; | |
| ФГП (φ0) – широта главной параллели |
Например: для СГП = 200.000 и φГП =44° → Cэкв = 278.033.