Лекция 4. Рис. 3.18. Расчет истинных направлений по магнитному компасу

Выводы

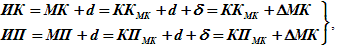
Рис. 3.18. Расчет истинных направлений по магнитному компасу

Переход от компасных направлений к истинным (или от компасных к магнитным) получил название – исправление румбов.

Переход от одних направлений (магнитных или истинных) к другим (компасным) получил название – перевод румбов.

Направления на судне определяются относительно истинного меридиана или диаметральной плоскости судна.

Направления, определяемые относительно истинного меридиана, называются истинными направлениями.

Для определения на­правления географического (истинного) меридиана на судах используют технические средства навигации (ТСН), называемые курсоуказателями.

Плоскость, в которой устанавливается главная ось ЧЭ ГК называется плоскостью гирокомпасного меридиана.Относительно этой плоскости измеряются направления на судне. Угол, на который плоскость гирокомпасного меридиана отклонена от плоскости истинного меридиана называется поправкой гирокомпаса и обозначается ∆ГК.

Направления, измеренные относительно магнитного меридиана, называются магнитными направлениями. Угол между истинным и магнитным меридианами называется магнитным склонением.

Угол между магнитным и компасным меридианами называется девиацией магнитного компаса.

Поправка магнитного компаса служит для перехода от компасных направлений к истинным направлениям:

Магнитный компас автономен и практически безотказен в работе. Однако и он имеет ряд недостатков: его показания необходимо всегда исправлять склонением и девиацией, величины и знаки которых меняются в зависимости от курса судна и его географического положения.

В судовождении применяются несколько систем счета направлений. Наиболее распространенными из них являются: круговая система счета; полукруговая система счета; четвертная система счета.

В навигации круговая система счета направлений является основной и применяется для определения направления движения судна, а также направлений на видимые с судна предметы.

Тема: Морские навигационные карты

План:

Введение.

  1. Морская карта. Требования к ее содержанию и оформлению.
  2. Масштаб карты.
  3. Картографические проекции.
  4. Принцип построения меркаторской проекции.
  5. Локсодромия на земном шаре и на меркаторской карте.
  6. Классификация морских карт.
  7. Содержание морских карт.
  8. Судовая коллекция карт, руководств и пособий для плавания (СККРиПДП).

Выводы.





Подборка статей по вашей теме: