Рис.5.13. Предвычисление времени и отсчета лага прихода судна на траверз ориентира
Рис. 5.12. Нахождение счислимой точки на путевой карте
Рис. 5.11. Расчет значения компасного курса при учете дрейфа от ветра
Рис.5.10. Оформление графического счисления пути судна на карте
б) расчет истинного и компасного курсов по известным линии пути при дрейфе и значению угла дрейфа.
Такая задача возникает в том случае, когда судну надо следовать по заданному маршруту (рекомендованный курс, ось фарватера или канала и пр.) или прибыть в назначенную точку при наличии дрейфа (α = + 4,0°)
Рассмотрим пример расчета курса в назначенную точку якорной стоянки (рис. 5.11).

- Находим исходную счислимую точку начала учета дрейфа
; - Наносим на навигационную карту назначенную точку якорной стоянки (по φ и λ → т. Я);
- Соединив исходную точку
с назначенной точкой якорной стоянки (т. Я) – получим линию пути при дрейфе – ПУα (106,0°), снимаем ее значение с навигационной карты; - Рассчитываем значение истинного курса:
| ИК2 = ПУα − α = 106,0° − (+4,0°) = 102,0° |
- Рассчитываем значение компасного курса (для задания его рулевому):
| КК = ИК − Δ К = 102,0° − (+2,0°) = 100,0° |
- Оформляем (подписываем) линию пути при дрейфе на навигационной карте [ КК 100,0° (+2,0°) α = +4,0°] и производим запись по форме в СЖ.
в) нанесение (нахождение) счислимой точки на навигационной карте на заданный момент времени (рис. 5.12).
|
|
|

- Замечаем время по часам (Т1) и отсчет лага (ОЛ1);
- Рассчитываем пройденное судном расстояние от исходной точки
до заданного момента – Т1:
| SЛ = КЛ · (ОЛ1 − ОЛ0) |
- От исходной точки
по линии пути при дрейфе (ПУα) откладываем рассчитанное расстояние.
г) предвычисление времени и отсчета лага прихода судна в заданную точку.
В общем случае точка может быть задана:
- координатами (φ, λ);
- направлением на ориентир (ИП или КУ);
- расстоянием до ориентира (D).
Рассмотрим пример на предвычисление времени (Т1) и отсчета лага (ОЛ1) прихода судна на траверз ориентира (рис.5.13).

- Рассчитываем величину ИП на момент прихода судна на траверз ориентира:
|
2. 110,0° − 90,0° = 20,0° − на ориентир и
3. 20,0° + 180° = 200,0° − с ориентира.
| ИК = КК + Δ К = 108,0° + 2,0°=110,0°. |
2. Рассчитанный ИП
(20,0°), а точнее ОИП
(200,0°), проводим от ориентира до пересечения с линией пути при дрейфе (т.
);
3. Снимаем расстояние S (6 миль) от исходной точки (т.
) до заданной точки (т.
);
4. Рассчитываем время прихода судна в заданную точку:
|
| T1 = T0 + t = 09.00 + 0.45 = 09.45 |
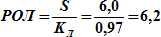
5. Рассчитываем показания лага (ОЛ1) на время прихода судна в заданную точку:
|
| ОЛ1 = ОЛ0 + РОЛ = 40,3 + 6,2 = 46,5. |
Ответ:
– время и отсчет лага прихода судна на траверз ориентира.