Липиды.
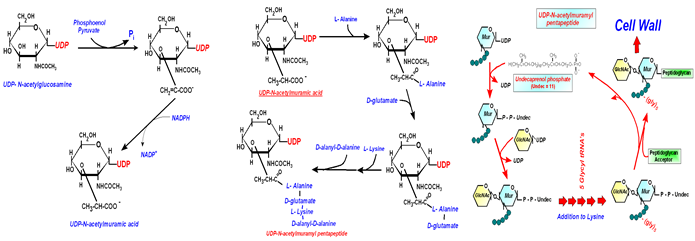
Синтез клеточной стенки.
![]() |
![]() | |||
![]() |
| Компонент | Содерж. в клетке % | Ср.мол. масса, Да (Да=а.е.м.) | Ср.число молекул в клетке | Число видов молекул |
| Вода | 4*1010 | |||
| Неорганические ионы | 2,5*108 | |||
| Углеводы и их предшественники | 2*108 | |||
| Аминокислоты и их предшественники | 0,4 | 3*107 | ||
| Нуклеотиды и их предшественники | 0,4 | 1,2*107 | ||
| Липиды и их предшественники | 2,5*107 | |||
| Другие низкомолекулярные вещества | 0,2 | 1,5*107 | ||
| Белки | 4*104 | 106 | ||
| ДНК | 2,5*109 | |||
| РНК | - | - | - | |
| 16S rRNA | 5*105 | 3*104 | ||
| 23S rRNA | 1*106 | 3*104 | ||
| tRNA | 2,5*104 | 4*105 | ||
| mRNA | 1*106 | 103 |
|









