Пусть функция
определена в области G и точка
. Дадим абсциссе
приращение
, тогда функция z получит приращение
, которое называется частным приращением по x функции
в точке
.
Частной производной по x функции в точке называется предел отношения частного приращения по x функции в точке к приращению при стремлении к нулю.
Обозначают частную производную функции z по переменной x
,
,
.
Таким образом, 
Аналогично определяются частное приращение по y функции
в точке
:
и частная производная по y функции
в точке
:
(обозначают также
,
).
Заметив, что вычисляется при неизменном y, а
– при неизменном x, можно сделать вывод: правила вычисления частных производных совпадают с правилами дифференцирования функций одной переменной, но при вычислении
полагают
, а при вычислении
полагают
.
Примеры:
1)
;
;
.
2)
;
;
.
Для функции
одной переменной производная n–го порядка определялась следующим образом:
. Аналогично определяются и частные производные высших порядков.
Частной производной n–го порядка функции нескольких переменных называется частная производная первого порядка от частной производной (n–1)–го порядка той же функции.
|
|
|
При этом учитывается, что производные можно вычислять по различным переменным. Так, функция двух переменных
имеет две частных производных 1–го порядка:
и
, четыре частных производных 2–го порядка:
,
,
,
, восемь частных производных 3–го порядка (от каждой из четырех производных 2–го порядка можно найти производную как по x, так и по y), например,
,
.
Частные производные высших порядков обозначают также
,
,
,
,
,
. Частная производная 2–го или более высокого порядка, взятая по нескольким различным переменным, называется смешенной частной производной.
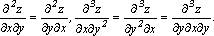
Справедлива теорема:
Две смешанные частные производные одной и той же функции, отличающиеся лишь порядком дифференцирования, равны между собой при условии их непрерывности.
Так, 
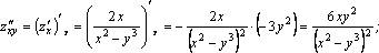
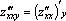
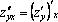
Пример.
Показать, что 
Решение.









