Минимальным путем называется последовательный минимальный набор работоспособных элементов данной системы, который обеспечивает функционирование системы, а отказ любого одного из этих элементов приводит к отказу системы.
Минимальным сечением называется последовательный набор неработоспособных элементов, который приводит к отказу системы, а восстановление одного из них приводит к восстановлению работоспособности всей системы.
В сложных системах может быть несколько минимальных путей и несколько минимальных сечений.
Для системы типа «мостик» (рисунок 5.4):

Рисунок 5.4 - Система типа «мостик»
минимальными путями будут
1) 1, 4 2) 2, 5 3) 1, 3, 5 4) 2, 3, 4;
минимальные сечения:
1) 1, 2 2) 4, 5 3) 1, 3, 5 4) 2, 3, 4.
Для последовательного соединения элементов имеется всего один путь и n сечений, если n - число последовательно включенных элементов (рисунок 5.5):

Рисунок 5.5 – Последовательное соединение
минимальными путями будут
1) 1, 2, 3;
минимальные сечения:
1) 1 2) 2 3) 3.
Для параллельного соединения n элементов число путей равно n, т.е. равно числу элементов, а сечений всего одно (рисунок 5.6):

Рисунок 5.6 – Параллельное соединение
минимальными путями будут
1) 1 2) 2 3) 3;
минимальные сечения:
1) 1, 2, 3.
Методика определения надежности сложных систем с помощью минимальных путей и минимальных сечений на примере системы «2 из 3»
Этап 1. Определить для сложной системы минимальные пути и минимальные сечения
Для системы «2 из 3» (рисунок 5.7):

Рисунок 5.7 – Система «2 из 3»
минимальными путями будут:
1) 1, 2 2) 1, 3 3) 2, 3;
минимальные сечения:
1) 1, 2 2) 1, 3 3) 2, 3.
Этап 2. Составить некоторую фиктивную структурную схему соединения
Существует два варианта составления таких схем.
1) структурная схема составляется в виде параллельного соединения всех минимальных путей;
2) все минимальные сечения в виде блоков с параллельным соединением элементов требуется соединить последовательно.
Фиктивные схемы для системы «2 из 3» будут иметь вид:
- на основе минимальных путей (рисунок 5.8);
- на основе минимальных сечений (рисунок 5.9).

Рисунок 5.8 - Фиктивная структурная схема на основе минимальных путей

Рисунок 5.9 - Фиктивная структурная схема на основе минимальных сечений
Этап 3. Составить условные системные функции для фиктивных схем.
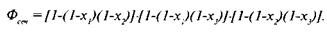
Условная системная функция на основе путей по рисунку 5.8 имеет следующий вид:
(5.3)
где хi - показатель надежности элементов, принимающий значения «да» или «нет», т.е. хi = 1, если элемент работоспособен, и хi = 0, если элемент отказывает;
i - номера элементов.
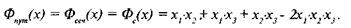
Условная системная функция на основе сечений по рисунку 5.9 имеет следующий вид:
(5.4)
Особенностью условной системной функции является то, что она составлена на использовании альтернативных или булевых переменных, которые могут принимать значения 1 или 0. Значит, и сама условная системная функция Ф(х) тоже может принимать значения 1 или 0. А это значит, что при решении уравнений (5.3) и (5.4) степени при х не имеют никакого значения, так как 1 и 0 в любых степенях дают все равно 1 и 0.
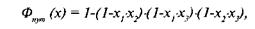
Преобразование (5.3) и (5.4) и удаление степеней приведет к следующему:
(5.5)
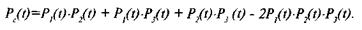
Этап 4. Заменить условную системную функцию функцией надежности первоначальной структурной схемы технического объекта Рс(х).
Буллевы переменные хi заменяются соответствующими функциями Pi(t), т.е. функциями надежности элементов. После замены буллевой функции и буллевых переменных в формуле (5.5) придем к выражению следующего вида:
(5.6)
К выражению (5.6), как мы установили, можно прийти как через минимальные пути, так и через минимальные сечения. В частном случае для системы «2 из 3», если
(5.7)
Уравнение (5.7) приведет к знакомому выражению
(5.8)
которое было получено и методом перебора, и комбинированным методом.
Для сложных произвольных структур метод путей и сечений дает приближенную оценку надежности технической системы, причем метод путей дает верхнюю границу оценки надежности.
Лекция 6. Резервирование. Методы, способы и типы резервирования. Задачи выбора оптимального числа резервных элементов в системе