У загальному випадку реальний профіль представляє собою сукупність мікронерівностей порівняно малихрозмірів по висоті та кроку.
Під шорсткістю поверхні розуміється сукупність мікронерівностей з відносно малими кроками, виділену за допомогою базової довжини (на невеликій дільниці).
Шорсткість є однією з основних характеристик якості поверхні та усієї деталі в цілому.
Шорсткість впливає:
1) на тертя та знос поверхонь тертя (підшипників, направляючих, повзунів);
2) на якість з'єднання з натягом та інші.;
3) на міцність деталі (знакоперемінні навантажування);
4) на антикорозійну стійкість деталі;
5) на щільність та герметичність з'єднання;
6) на відбивну здібність;
7) на контактну жорсткість;
8) на міцність зчеплення при притиранні та склеюванні;
9) на якість гальванічних і лакокрасочних покриттів;
10) на точність вимірювання деталей та інші.
Нормування шорсткості
Базою для відліку відхилень профіля є середня лінія профіля - лінія, яка має форму номінального профіля і проведена так, що в межах базової довжини середнє квадратичне відхилення вимірюємого профіля до цієї лінії було мінімальним.
|
|
|
Параметри установлені ГОСТом 2789-73

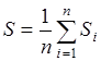
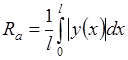
Шорсткість можна оцінювати (в межах базової довжини);
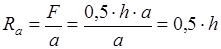
Ra,- середнім арифметичним відхиленням профіля;
Rz,- висотою нерівностей профіля по десяти точкам;
Rмах,- найбільшою висотою нерівностей профіля;
S- середнім кроком місцевих виступів профіля;
Sм- середнім кроком нерівностей;
tp- відносною опорною довжиною профіля, де р- значенні рівня перетину профіля:

n - число точек, вибраних на базовій довжині;
y - відхилення профіля;
Rz- сума абсолютних значень висот п'яти найбільших виступів і п'яти найбільших западин:

Співвідношення між Ra і Rz


Rz=2h
Rz=4Ra
Для реального профіля:
Rz≈4Ra
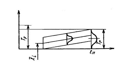
Середній крок:
по середній лінії.
Середній крок місцевих виступів (по вищим точкам місцевих виступів)


Відносна опорна длина профіля tр

![]() |

![]() |
За ГОСТ 2789-73 базова довжина l вибирається конструктором з ряду.
Ряд базових довжин: 0,01; 0,03; 0,08; 0,25; 0,8; 2,5; 8,0; 25.
Вона не прив'язана жорстко до обумовлених параметрів шорсткості. Її можна не вказувати, якщо Rа, Rz, і Rmax, та значення базової довжини знаходяться в співвідношенні:
| Rа, мкм | L, мм | |
| До 0,025 | 0,08 | |
| 0,025-0,4 | 0,25 | |
| 0,4-3,2 | 0,8 | |
| 3,2-12,5 | 2,5 | |
| 12,5-100 |
Переважні значення шорсткості в мкм
| Rz, Rmax | 400,200 | ||
| Rа, Rz, Rmax | 100;50;|25|;|12,5|; 6,3; 3,2; 1,6; 0,8; 0,4; 020; 0,100; 0,050; 0,025 | ||
| Rа | 0,012 | ||
Позначення шорсткості на старих кресленнях
| Клас | Rа, мкм | |||
1 | 8 | 0,63 | ||
2 | 9 | 0,32 | ||
3 | 10 | 0,16 | ||
4 | I 1 | 0,08 | ||
5 | 12 | 0,04 | ||
6 | 2.5 | 13 | 0,02 | |
7 | 1,25 | 14 | 0,01 |
Позначення шорсткості відповідно ГОСТ 2.309-73:
|
|
|


- вид обробки не встановлюється;


- з вилученням шару металу,


- поверхня не оброблюється за поданим кресленням; поверхні получені литтям, куванням, штампуванням.

![]() |
Додаткові позначення
Напрям нерівностей і їх позначення
| Напрям нерівностей | Схематичне зображення | Позначення напряму рисок | |
| Паралельний | | ||
| Перпендикулярний | |||
| Перехресний | |||
| Довільний | |||
| Коловий | |||
| Радіальний |
Прилади для виміру шорсткості поверхні
Кількісний контроль шорсткості здійснюється контактними методами за допомогою щуповых приладів (профилометрів і профілографів) і безконтактними методами за допомогою:
а) приладів світлового перетину типу МИС-11 і ПСС-2;
б) мікроінтерферометрів;
в) растрових вимірювальних мікроскопів типу ОРИМ;
г) і ін.
Принцип дії інтерферометрів заснований на використанні явища інтерференції світла, відбитого від зразкової і досліджуваної поверхонь. Форма інтерференційних смуг, що утворюються, залежить від виду і висоти (до 1 мкм) нерівностей контрольованої поверхні.
Принцип дії растрових мікроскопів заснований на явищі утворення муарових смуг при накладенні зображень елементів 2-х періодичних структур (спрямованих слідів обробки і дифракційної решітки). При наявності нерівностей муарові смуги викривляються. Висоту мікронерівностей визначають по ступеню скривлення муарових полос.
Принцип дії приладів світлового перетину заснований на вимірі параметрів проекції світлового перетину досліджуваної поверхні за допомогою похило спрямованого до неї світлового пучка. Висоту мікронерівностей вимірюють за допомогою окуляра-мікрометра.
У щупових приладах контактної дії для виміру висоти нерівностей використовують вертикальні коливання голки, переміщуваної по контрольованій поверхні. Коливання перетворяться в електричну напругу за допомогою перетворювачів (індуктивних, механотронних, п'єзоелектричних і ін.). Напруга підсилюється за допомогою підсилювача. Зміни амплітуди напруги характеризує висоту нерівностей.
У профілометрах величину Ra визначають по стрілочному приладі чи по цифровому індикаторі. У профіграфах використовується записуючий пристрій.
Якісний контроль шорсткості поверхні здійснюється шляхом порівняння з зразками чи зразковими деталями візуально чи на дотик.
Для цього ГОСТ 9378-75 установлює зразки шорсткості. На кожнім зразку зазначені значення параметра Ra (у мкм) і вид обробки зразка.
9. Теоретичні основи точності
При виготовленні і при вимірюванні виникають дві категорії похибок: систематичні і випадкові.
Систематичні похибки – це похибки постійні або ті похибки, які закономірно змінюються, в залежності від характеру невипадкових факторів.
Виникають у результаті неточного настроювання обладнання, похибки вимірювального пристрою, відхилення робочої температури від нормальної, силових деформаціях. Системну похибку можна виявити і її позбутися.
Випадкові похибки – похибки які змінюються випадково при повторних вимірюваннях однієї і тієї ж величини.
Характерна ознака– зміна значень, при повторних дослідах. Причина випакових похибок – це численність (множина) факторів, які випадково змінюються, таких як припуск на обробку, механічні властивості матеріала, сила різання, різна точність установлення деталей на вимірювальну позицію, причому, взагалі, жоден з цих факторів не є домінуючим.
В інженерній практиці часто виникає необхідність у визначені поля розсіювання розмірів (параметрів), визначенні їх середнього значення, імовірності одержання браку та інших статистичних показників. Оскільки дійсні значення параметрів, а також їхніх похибок найчастіше є випадковими величнами, то для їхнього аналізу використовують теорію імовірностей і математичну статистику.
|
|
|
Випадкові величини можуть розподілятися за наступними законами.

Закон рівної імовірності Закон трикутника (Симптона)

Закон Максвелла Закон Вейбулла або
експоненціальний закон

Закон нормального розподілення (закон Гаусса)
Закон рівної імовірності застосовується, наприклад, при визначені імовірностей появи розмірів в одиночному типі виробництва.
Закон трикутника застосовується наприклад для визначення імовірності розподілу розмірів в серійному виробництві.
Закон Максвела – підпорядковує значення ексцентриситетів, відхилень від співосності, радіального і торцевого биття та інших величин, які мають тількі плюсові значення.
Закон Вейбулла –розсіювання відмов машин.
Закон Гаусса – розсіювання значень випадкових величин залежних від множини незалежних факторів.
З акони теорії імовірностей та математичної статистики справедливі для великої кількості величин (випадків).
Безліч значень випадкових величин (випадків) називається генеральною сукупністю.
При збігу центра групування з початком відліку випадкових величин рівняння кривої нормального розподілу матиме вигляд
,
де у – густина розподілу імовірності;
е – основа натурального логарифму;
σ- середнє квадратичне відхилення випадкових величин.
;
М(х) – математичне очікування випадкових величин;
[xi-M(x)] – відхилення випадкової величини;
P(xi) – імовірне значеня хі(поява випадка(події) хі).
Середнє квадратичне відхилення характеризує розсіювання випадкових величин

Чим менше σ, тим менше поле розсіювання випадкових величин, тобто більша точність технологічного процесу, більш точний квалітет.
Розсіювання випадкових величин відносно центра розсіювання характеризується також дисперсією
D(x)=σx2
Визначення імовірності появи точних деталей (або браку) в партії деталей.
Гілки кривої нормального розподілу йдуть в безкінечність асимптотично наближаючись до осі абсцис.
Площа обмежена кривою нормального розподілу від -∞до +∞ (безкінечності) показує імовірність появи достовірної події, тобто дорівнює 1 або 100%, вона визначається інтегралом
|
|
|


Імовірність того, що випадкова величина хі знаходиться в межах від х1 до х2.


Оскільки підінтегральна функція парна, а крива симетрична відносно максимальної ординати, то розглядається лише додатна частина кривої

Якщо виразити випадкову величину в частках σ, тобто
X[мм]/σ[мм]=z - безрозмірна величина, то замінюємо x=zσ, звідки dx=σdz
то отримаємо інтеграл

Який називається нормованою функцією Лапласа, яка є функцією від z=x/σ
Значення функції
Ф0(0)=0 Ф0(-z)=-Ф0(z)
Ф0(-∞)=-0,5 Ф0(+∞)=0,5

Для повної кривої

Тобто поле розсіювання випадкових величин по закону Гауса
від -3σ до +3σ вважають практично граничним полем розсіювання
Придатні деталі


Визначення параметрів емпіричного розподілу.
Необхідно провірити точність виготовлення деталей.
1. Необхідно зробити вибірку деталей із партії (N>50).
2. Необхідно підібрати вимірювальний інструмент залежно від допуску.
3. Виміряти розміри деталей та записати їх.
4. Розробити поле розсіювання на кілька інтервалів (8-15) і встановити межі інтервалу
5. Визначити середнє значення інтервалу хі .
6. Визначити число деталей в інтервалі ni.
7. Визначити частості ni/N.
8. Визначити середньоарифметичне значення дійсних розмірів.

9. Визначити відхилення значень випадкових величин відносно емпіричного центру розсіювання для кожного інтервалу.
10. Визначити середнє квадратичне відхилення
, при N>30
Приклад:
Оцінимо точність виготовлення валиків діаметром 12h 10 (-0,07) оброблених на токарно-револьверному станку. Візьмемо вибірку N=200шт. Виміряємо деталі приладом з ціною поділу 0,01мм, вважаємо що точність відліку дорівнює 0,005мм. Розташуємо одержані дійсні розміри di в порядку зростання, і отримаємо ряд випадкових дискретних величин. Визначимо поле розсіювання ωlim вибірки
Розбиваємо поле розсіювання на 9 інтервалів.
Обробка результатів у таблиці.
| № | Інтервали d1 | Серед. Знач. Хі для інтер | ni | Відхил. від серед.значVi=xi-x | Частость ni/N |
| Від 11.920 До 11.925 | 11,920 | -0,04 | 0,01 | ||
| Від 11,925 До 11,935 | 11,930 | -0,03 | 0,03 | ||
| ... | ... | ... | ... | ... | ... |
| Від 11,995 До 12,005 | 12,000 | +0,04 | 0,01 |
Середнє арифметичне значення дійсних розмірів

Емпіричне середнє квадратичне відхилення

Коефіцієнт точності

Гістограма та емпірична крива (полігон) розподілу

Статистичні методи управління якістю продукції.
Статистичні методи управління дозволяють оцінити стан технологічного процесу, визначити заданий параметр якості продукції (наприклад, розмір), а у випадку виходу його за межі регулювання – скоректувати цей процес. Крім того дані методи управління дозволяють створити технологічний запас точності.
Технологічним допуском називається допуск, значення якого визначають з урахуванням економічно досяжної точності виготовлення при вибраному технологічному процесі. Приблизно технологічний допуск дорівнює Т r =ωlim+
де ωlim – граничне поле розсіювання Δiсист – сума систематичних похибок процесу, які не усуваються Формула справедлива при безперервному і надійному регулюванні точності виготовлення і контролю при великій виборці. Доцільно створювати технологічний запас точності
KT=TF/Tr,
TF – функціональний допуск розміра
KT
1,2 – для відповідальних і точних деталей.

10. Основи технічних вимірювань
Державна система забезпечення єдності вимірювань (ДСВ)
Метрологія - наука про вимірювання фізичних величин, про методи та засоби забезпечення їх єдності та досягнення потрібної точності.
Основні задачі метрології (ГОСТ 16263-70):
1) встановлення єдиної фізичної величини, державних еталонів та засобів вимірювання;
2) розробка теорії, методів та засобів вимірювання та контролю;
3) забезпечення єдності вимірювань та єдинообразних засобів вимірювання;
4) розробка методів оцінки похибок, стан засобів вимірювання та контролю.
5) розробка методів передачі розмірів одиниць від еталонів чи зразкових засобів вимірювання робочим засобам вимірювання.
Здійснення вказаних задач досягається ДСВ.
ДСВ - є нормативно-правовою основою метрологічного забезпечення точності вимірювань. Основними нормативно-технічними документами ДСВ та інших є ГОСТ 8.001-71; 8.002-71; 8.009-72; 8.010-72.
Основні поняття:
Вимірювання - находження значення фізичної величини шляхом спроб за допомогою спеціальних технічних засобів, наприклад: вимірювання розмірів мікрометром.
Основне рівняння вимірювання має вид:
Q = q·U,
де Q та q - вимірюєма фізична величина та її числове значення в прийнятих одиницях вимірювання.
U— одиниця фізичної величини.
Значення фізичної величини Q, знайдене при вимірюванні, називається дійсним. Замість визначення фізичної величини часто перевіряють, чи знаходиться дійсне значення цієї величини (наприклад; розмір деталі) у встановлених межах
Q С Т, де Т - поле допуску
Процес отримання та обробки інформації про об'єкт (наприклад: довжина деталі) з метою визначення його придатності називають контролем. Отже під час контролю визначають відповідність дійсного значення фізичної величини встановленим значенням.
Контрольні засоби - калібри, шаблони, прилади з електроконтактними перетворювачами. Для введення єдиного виду в одиницях вимірювання у всьому світі у 1960 році була прийнята Міжнародна система SI. На основі SI розроблено ГOCT 8.417 – 81 (СТ СЕВ 1052-72).
SI
Довжина - м Терм. температур. - кельвін (К)
Маса -кг Сила світу -кандела (кд)
Час- с Кількість речовини -моль
Сила електричного тока –а
Додаткові одиниці SI
Радіан –рад Стерадіан -ср
Сила - ньютон 1Н = 1кг· м / с2
Тиск - паскаль 1Па = 1кг·м-1 ·с2
Швидкість-
; 
В системі SI:
1 м - це довжина, яка дорівнює 1650763,73 довжини випромінювання у вакуумі, відповідно переходу між рівнями 2р10 та 5d5 атома криптона 86.
Такі визначення дають можливість значно підвищити точність відтворювання одиниці довжини та використовують для її відтворювання натуральний процес.
Засоби вимірювання
Технічні засоби, які використовують при вимірюванні, та які мають нормовані метрологічні властивості, називають засобами вимірювання. До засобів вимірювання відносять різні вимірювальні прилади та інструменти (штангенциркулі, мікрометри).
Принцип дії засобів вимірювання - фізичний принцип, покладений до основи побудування даного засобу вимірювання. Наприклад: механічні, оптичні, оптико-механічні прилади.
Еталони - засоби вимірювання, які офіційно затверджені і забезпечують відтворення або зберігання одиниці фізичної величини з метою передачі її розміру нижчерозташованим по звірювальній схемі засобам вимірювання.
Міри - засоби вимірювання, призначені для відтворення заданого розміру фізичної величини. Однозначні міри (для фізичної величини одного розміру). Наприклад: кінцеві міри довжини, гирі, конденсатори постійної ємності.
Багатозначні міри - рулетка, конденсатор змінної ємності.
Зразкові засоби вимірювання — міри, вимірювальні прилади або перетворювачі, затверджені як зразкові для перевірки по ним інших засобів вимірювання.
Робочі засоби - використовують для вимірювання незв'язаних з передачею розміру одиниць (тобто для вимірювання деталей).
Порядок передачі розміру одиниць фізичної величини від еталона або початкового засобу до засобів більш низьких розрядів встановлюють в відповідності з повірочною схемою.


1 






