Иногда вершина восходящего тренда образует как бы неправильную модель голова-плечи: с «головой» на уровне «плеч». Данная фигура носит название «тройная вершина» и также является сильным признаком перелома восходящего тренда.

Метод обозначения линии шеи при выделении фигуры тройная вершина тот же, что и при выделении фигуры голова-плечи. Ожидаемая цель для взятия прибыли при торговле в направлении фигуры – ее ценовой диапазон, отложенный вниз от линии шеи. Наилучший сигнал к продаже по модели тройная вершина появляется в случае, если уровень последней вершины немного ниже уровня остальных двух. Это говорит о слабости господствующей группы и их неспособности «дотянуть» цену до уровня сопротивления. Очень часто формирование фигуры тройная вершина сопровождается дивергенциями на технических индикаторах, к примеру, MACD либо RSI.
Модель тройное основание представляет собой модель тройная вершина, перевернутую на 180 градусов, а ее появление предвещает конец нисходящего тренда.
|
|
|
Это основные фигуры перелома тренда. Под понятием «перелом тренда» мы понимаем завершение действующего тренда и переход рынка либо в бестрендовое состояние (флэт), либо к формированию тренда в противоположном направлении. Как правило, переломы крупных трендов происходят в течение длительного времени и за их переломом следует длительный период консолидации (бокового движения) цен. Более мелкие тренды могут разворачиваться в противоположном направлении довольно быстро.
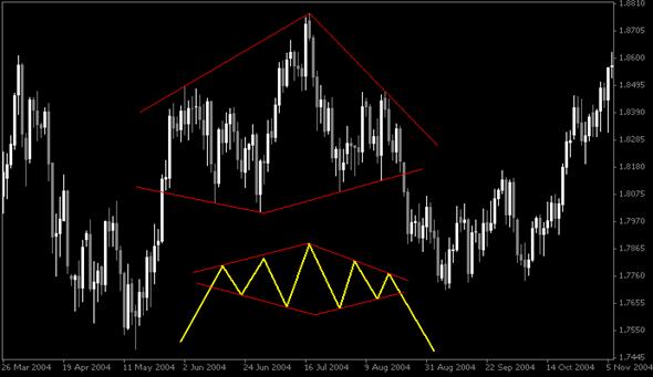
Алмаз или бриллиант (разворот тренда)
Образование этой фигуры говорит о возможной смене тренда.
Перед тем как будет образована данная фигура, необходимо обязательное наличие чётко выраженного тренда.
Если цена выходит за пределы фигуры в противоположном направлении предыдущему тренду, то чаще всего она проходит расстояние, равное высоте фигуры.
Пример:

Обратите внимание на тот факт, что перелом действующего тренда – это значительное событие для участников рынка, а наступление значительных событий сопровождается многочисленными признаками. Отсюда можно сделать вывод, что появление одной из фигур разворота тренда на графике валютной пары является поводом для того, чтобы искать подтверждения этому предположению при помощи других средств технического анализа: искать точки пробития линий поддержки/сопротивления, следить за сигналами индикаторов, наблюдать изменения объемов торговли и т.д. Всегда относитесь с настороженностью к тому, что вы видите на графиках цен и помните, что, чем больше подтверждений вашему прогнозу вы можете найти, тем больше вероятность того, что он окажется верным.
Как бы там ни было, своевременное выявление фигур разворота тренда поможет вам увидеть признаки разворота текущей тенденции, вовремя зафиксировать прибыль и подготовиться к возможному началу нового движения цен.






