Очистка металла может производиться путем вытягивания монокристалла из расплава по Чохральскому. При этом способе кристаллизация металла происходит на затравке, вращающейся вокруг оси (рис. 6.5).

В процессе вытягивания цилиндрического монокристалла примеси перераспределяются между твердой и жидкой фазами.
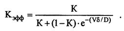
Реальный (эффективный) коэффициент распределенияКэфф. примеси является функцией равновесного коэффициента распределения К, скорости движения фронта кристаллизации V, толщины диффузионного слоя δ и коэффициента диффузии D примеси в диффузионном слое:

где -(Vδ/D) – приведенная скорость роста.
Эффективный коэффициент распределения (Кэфф.) учитывает кинетические факторы, т.е. распределение происходит в неравновесных условиях.
Изменяя условия кристаллизации, а именно: скорость движения фронта кристаллизации за счет изменения скорости движения индуктора и других устройств, толщину диффузионного слоя за счет более интенсивного перемешивания жидкой фазы, можно изменять Кэфф в пределах от К до 1. Наилучшие результаты очистки будут получены при условии, если Кэфф будет приближаться к равновесному коэффициенту распределения К. При Кэфф = 1 очистка металла не происходит.






