Наиболее эффективным методом глубокой очистки металлов оказалась зонная перекристаллизация по Пфанну. При зонной перекристаллизации расплавляется не весь исходный материал, подлежащий очистке, а только его узкая часть (зона), которая перемещается вдоль слитка. Зона ограничена фронтом плавления и фронтом кристаллизации.
В процессе кристаллизации происходит перераспределение примеси с одного конца слитка к другому.
Зонную перекристаллизацию металла можно повторять многократно.
Кристаллизационные методы очистки позволяют получать материалы для электронной промышленности с содержанием примесей 10-6-10-8%.

Зонная плавка - метод очистки полупроводниковых материалов, таких, как германий и кремний, для применений в микроэлектронике.
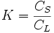
Распределение примеси характеризуется коэффициентом распределения, который равен

где СS — концентрация примеси в жидкой фазе, СL — концентрация примеси в твердой фазе.
Иногда вместо коэффициента распределения K используют коэффициент разделения α, который равен
|
|
|

Примеси, для которых коэффициент распределения K <1, концентрируются в расплавленной зоне и вместе с ней перемещаются к концу слитка. С другой стороны от расплавленной зоны образуются слои вещества, более чистого относительно примесей, для которых K <1. Те примеси, для которых K >1, наоборот, концентрируются в начале слитка. Если осуществить многократное прохождение расплавленной зоны, то примеси с K <1 соберутся в конце слитка. Для примесей с К > 1 метод мало эффективен. Самые чистые части слитка (из середины) используются для изготовления приборов. Таким методом можно очистить германий до образцов с удельным сопротивлением порядка 70 ом·см, в которых остается примерно один атом примеси на 1010 атомов германия.






