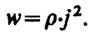
Количество теплоты, выделяющееся за единицу времени в единице объема, называется удельной тепловой мощностью тока.

Используя дифференциальную форму закона Ома (j=g·Е) и соотношение r=1/g, получим, что

Последние две формулы являются обобщенным выражением закона Джоуля—Ленца в дифференциальной форме, пригодным для любого проводника.
4. Закон Ома для неоднородного участка цепи.
Мы рассматривали закон Ома для однородного участка цепи, т. е. такого, в котором не действует э.д.с. (не действуют сторонние силы). Теперь рассмотрим неоднородный участок цепи, где э.д.с., действующую на участке 1—2 обозначим через
, а приложенную на концах участка разность потенциалов — через (j1 —j2).
Если ток проходит по неподвижным проводникам, образующим участок 1—2, то работа А12 всех сил (сторонних и электростатических), совершаемая над носителями тока, по закону сохранения и превращения энергии равна теплоте, выделяющейся на участке.
Работа сил, совершаемая при перемещении заряда Q0 на участке 1—2, будет равна
|
|
|
(1)
Э.д.с.
как и сила тока I, есть величина скалярная. Ее необходимо брать либо с положительным, либо с отрицательным знаком в зависимости от знака работы, совершаемой сторонними силами.
Если э.д.с. способствует движению положительных зарядов в выбранном направлении (в направлении 1—2), то
> 0.
Если э.д.с. препятствует движению положительных зарядов в данном направлении, то
< 0.
За время t в проводнике выделяется теплота:
(2)
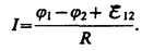
Из формул (1) и (2) получим
(3)
откуда
(4)
Выражение (3) или (4) представляет собой закон Ома для неоднородного участка цепи в интегральной форме, который является обобщенным законом Ома.
Если на данном участке цепи источник тока отсутствует (
=0), то из (4) приходим к закону Ома для однородного участка цепи (1):







