Работа и мощность тока, закон Джоуля — Ленца.
Зависимость сопротивления проводника от температуры, сверхпроводимость.
Закон Ома в дифференциальной форме.
Тема 2. Постоянный электрический ток.
Лекция №5
4. Закон Ома для неоднородного участка цепи.
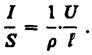
Закон Ома можно представить в дифференциальной форме.
Подставив выражение для сопротивления
в закон Ома, получим, что
(1)
Определение 1.
Величина, обратная удельному сопротивлению,называется удельной электрической проводимостью вещества проводника,
.
Ее единица — Сименс на метр
.
Учитывая, что U/l = Е — напряженность электрического поля в проводнике, I/S = j — плотность тока, формулу (1) можно записать в виде:
(2)
Так как в изотропном проводнике носители тока в каждой точке движутся в направлении вектора Е, то направления j и Е совпадают. Поэтому формулу (2) можно записать в векторном виде
(3)
Примечание. Это соотношение справедливо и для переменных полей.






