Методы расчета систем искусственной вентиляции

Основная цель расчета общеобменных систем искусственной вентиляции — определить количество воздуха, которое необходимо подать и удалить из помещения При расчете вентиляции в цехах, воздухообмен, как правило, определяют расчетным путем по конкретным данным о количестве вредных выделений (тепла, влаги, паров, газов)

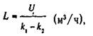
Для цехов, где выделяются вредные вещества, воздухообмен определяют по количеству вредных газов, паров, пыли, которые поступают в рабочую зону, с целью разбавления их приточным воздухом до предельно допустимых концентраций:

(2.1)

где U — количество вредных выделений в цехе, мг/ч;

к1, — предельно допустимая концентрация вредных выделений в воздухе цеха, мг/м3,

k2 — концентрация вредных выделений в приточном воздухе, мг/м3.

Для помещений, где вредные выделения отсутствуют (или количество их незначительно) приток (вытяжку) воздуха можно определить по кратностивоздухообмена (k) — отношения объема вентиляционного воздуха L (м3/час) к объему помещения Vп (м3):

(2.2)

Кратность воздухообмена показывает сколько раз в течение часа необходимо поменять весь объем воздуха в данном помещении для создания нормальных условий воздушной среды. Определив по справочнику кратность воздухообмена при известном объеме помещения можно рассчитать объем приточного воздуха или вытяжки.

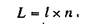
Для помещений, в которых отсутствуют вредные выделения и избыточное тепло и нет необходимости в создании метеорологического комфорта можно использовать формулу:

(2.3)

где l - минимальная подача воздуха на одного работающего в соответствии с санитарными нормами (при объеме помещения на одного работающего, до 20 м3 – 30м3/ч, a при объеме больше 20м3 — 20 м3/ч);

n — количество работающих в помещении.

При расчете местной вытяжной вентиляции количество воздуха, удаляемое местным отсосом (зонт, панель, шкаф) можно определить по формуле:

(2.4)

где F — площадь сечения отверстия местного отсоса, м2;

v — скорость движения удаляемого воздуха в этом отверстии (принимается от 0,5 до 1,7 м/с в зависимости от токсичности и летучести газов и паров).

Естественная и искусственная вентиляции должны отвечать следующим санитарно-гигиеническим требованиям.

— создавать в рабочей зоне помещений соответствующие нормам метеорологические условия труда (температуру, влажность и скорость движения воздуха);

— полностью удалять из помещений вредные газы, пары, пыль и аэрозоли или растворять их до предельно допустимых концентраций;

— не вносить в помещение загрязненный воздух снаружи или путем засасывания из смежных помещений;

— не создавать на рабочих местах сквозняков или резкого охлаждения;

— быть доступными для управления и ремонта в процессе эксплуатации;

— не создавать в процессе эксплуатации дополнительных неудобств (например, шума, вибраций, попадания дождя, снега)

Следует учесть, что к вентиляционным системам, установленным в пожаро- и взрывоопасных помещениях предъявляется целый ряд дополнительных требований, которые в этом разделе не рассматриваются.

Кондиционирование воздуха — это создание и автоматическое поддержание в помещениях постоянных или изменяющихся по программе определенных метеорологических условий, наиболее благоприятных для работающих или требуемых для нормального протекания технологического процесса. Кондиционированние воздуха может быть полным и неполным. Полное кондиционирование воздуха предусматривает регулирование температуры, влажности, подвижности и чистоты воздуха, а также, в ряде случаев, возможность его дополнительной обработки (обеззараживания, ароматизации, ионизации). При неполном кондиционировании регулируется только часть параметров воздуха.

Кондиционирование воздуха осуществляется кондиционерами, которые подразделяются на центральные и местные. Центральные кондиционеры предназначены для обслуживания больших за размерами помещений.





Подборка статей по вашей теме: