Так как прочность древесины и пластмасс зависит от фактора времени или иначе времени действия нагрузки, целесообразно рассмотреть их основные закономерности.
При испытаниях деревянных конструкций замечено, что разрушающая нагрузка в случае медленного нагру-жения меньше, чем в случае быстрого. То же самое наблюдается и при механических испытаниях древесины и пластмасс, в чем находит яркое проявление особенность прочностных свойств этих материалов, отличающая их от стали и бетона, у которых это общее свойство твердых тел выражено слабее. Этот фактор следует учитывать при назначении расчетных сопротивлений и определении расчетной несущей способности конструкций. Для обеспечения надежной работы последних необходимо уметь находить длительную прочность древесины и пластмасс. Рассмотрим имеющиеся экспериментальные данные для древесины.
Испытаниями образцов древесины длительной нагрузкой продолжительностью 5 лет и более, а также испытаниями возрастающей нагрузкой установлена линейная зависимость логарифма времени t, с, до разрушения от напряжения σ, МПа, характеризуемая уравнением
lg t=lg A-ασ (III. 42)
где А, α — постоянные при постоянной температуре.
Эта зависимость подтверждается данными многочисленных отечественных и зарубежных исследований при разнообразных условиях — разных породах древесины, плотности, влажности, видах напряженного состояния и режимах нагружения. По экспериментальным данным (рис. III. 11, а) опытные точки располагаются близко к прямой по уравнению (111.42) с доверительными интервалами ±2 — 6 % и доверительной вероятностью 0,95 при испытаниях: длительной нагрузкой на изгиб древесины пихты (/); возрастающей нагрузкой на растяжение вдоль волокон лиственницы (2) и сжатие вдоль волокон сосны при влажности 15 % (3) и 30 % (4); ступенчатой нагрузкой на сдвиг при кручении трубчатых образцов пихты (5).
![]() |
Прямая по уравнению (111.42) изображает длительную прочность рядового пиломатериала с доверительным интервалом ±6 % при доверительной вероятности 0,90. Здесь для возрастающей нагрузки время t определено по продолжительности испытания t’1 из выражения t= t’1 /2,3(]gA —lg t) (нагружение ступенями при достаточном их числе приближенно можно приравнять испытанию с постоянной скоростью).
Возникает вопрос, какова природа разрушения твердых тел при действии напряжений, позволяющая выразить этот процесс с помощью уравнения (111.42)? По современным представлениям это уравнение, которому подчиняются твердые тела, в том числе полимеры и полимерный композит — древесина, устанавливает связь между макроскопической прочностью твердых тел и их атомно-молекулярным строением через значения А и α:
![]() |
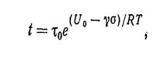
Принципиальное значение этой связи состоит в том, что сопротивление твердого тела силовому воздействию определяется не только возникающим в теле напряжением о, но и временем его действия и температурой. При действии постоянного напряжения в твердом теле время t до разрушения, согласно С. Н. Журкову, имеет выражение
![]() |
т. е. здесь потенциальный барьер разрыва химических связей, определяемый числителем показателя степени U0—γσ, снижен по сравнению с его величиной при отсутствии напряжения, т. е. U0. Очевидно, чем выше напряжение, тем короче время до разрушения, логарифм которого определяется выражением (111.42). Таким образом, существующее в ненапряженном теле динамическое равновесие между разрывами химических связей тепловым движением и их образованием здесь смещено в сторону преобладания разрывов. При этом и последующие стадии разрушения твердого тела, в которых происходит образование субмикроскопических трещин, определяются также, согласно С. Н. Журкову, описанной закономерностью.
Механика разрушения становится применимой здесь при слиянии субмикроскопических трещин и последующем образовании магистральной трещины в твердом теле, причем этот процесс существенно усложняется в анизотропном и волокнистом материале, каким является древесина.
При отсутствии напряжений (соответствует экстраполяции прямой по уравнению (111.42) на рис. III.11, а до σ=0) или достаточно низком их уровне имеет место указанное равновесие. Теоретическое время до разрушения, определяемое в этих случаях только всплесками теплового движения, весьма велико. Практически важно то, что в пределах сроков службы сооружений уравнения (111.42) и (111.43) позволяют прогнозировать длительную прочность твердых тел. Основой прогнозирования длительной прочности является отрезок lgA, отсекаемый прямой по уравнению (111.42) на оси lg t |(рис. III.11, а) и определяемый параметрами разрыва химических связей: U0 — для древесины (природная целлюлоза)» 170 кДж/моль и lgτo=—13 для многих полимеров и древесины, а также температурой Т. Для древесины при обычной температуре (~20°С) lg.A = 17,l. Из подобия треугольников (см, рис. III,11, б) имеем
![]() |
Например, из испытаний стандартных образцов древесины сосны при влажности 15 % и ~20°С на сжатие вдоль волокон, т.е. при равномерном распределении напряжений, определены средние (из 12) значения σt — =36,6 МПа; lg/=l,71; для т=50 лет, lgт=9,2 и К1 (t) = (15,39/7,90) =1,95, т. е. средняя длительная прочность древесины для срока действия неизменной нагрузки в течение 50 лет составляет «51,3 % от σt. Если порода, плотность, влажность, пороки строения древесины, абсолютные размеры (масштабный эффект), вид напряженного состояния проявляются в абсолютной величине прочностных показателей древесины, то относительное снижение ее прочности под длительным действием нагрузки от этих факторов не зависит. На этом положении базируется установление расчетных сопротивлений в деревянных конструкциях с учетом длитель ности действия нагрузки и оценка результатов испытания конструкций кратковременной нагрузкой до разрушения.
Применение к несущей способности конструкций изложенного метода прогнозирования длительной прочности древесины основано на выполнении требований, обеспечивающих необходимую надежность работы конструкции под нагрузкой. Это: 1) неизменность расчетной схемы конструкции в течение срока ее службы и необходимый уровень длительной несущей способности соединений элементов конструкции; 2) сохранение древесиной и другими материалами, например клеем в соединениях клееных конструкций, исходных качеств, которыми они обладали при изготовлении конструкции. Соблюдение первого условия контролируется расчетным анализом работы конструкции под нагрузкой в период ее эксплуатации с учетом прогнозирования длительной несущей способности и деформативности соединений ее элементов на основе экспериментальных данных. Второе требование обеспечивается защитными мерами против биоповреждения древесины, соответствующими условиям службы конструкции.
При выполнении перечисленных требований длительная несущая способность конструкции определяется свойствами ее основного материала — древесины и может прогнозироваться с помощью выражения (111.45) на основании результатов кратковременных испытаний опытных образцов конструкций. Испытания проводятся с точным выполнением временного режима нагружения и определением значения разрушающей нагрузки Иt и времени t, т. е. продолжительности испытаний, приведенной к неизменному действию разрушающей нагрузки Иit. При этом искомую длительную несущую способность испытаний конструкции Ит находят из выражения
![]() |











