Для нахождения минимума затрат нужно приравнять нулю первую производную затрат по сечению:
, или
.
Последнее выражение означает, что минимум затрат имеет место при сечении Fэк, которое обеспечивает равенство переменной части капиталовложений и стоимости потерь электроэнергии. Оно называется экономическим сечением.
(2.2.1)
Экономическое сечение прямо пропорционально току (S/U), оно растет с увеличением стоимости электроэнергии и с увеличением времени использования максимума и времени максимальных потерь (С = Со * τ), оно снижается с увеличением стоимости ЛЭП (Е * НК).
На практике экономическое сечение обычно определяют с помощью экономической плотности тока j эк, значения которой приводят в справочниках:


В соответствии с ПУЭ расчету по экономической плотности тока подлежат все проводники, кроме
- сетей напряжением ниже 1000 В при Тм менее 4000 – 5000 часов в год,
- сборных шин,
- временных сетей (срок службы до 3 – 5 лет).
Округление расчетного сечения Fэк производится в ближайшую (а не в большую) сторону.
|
|
|
2.3. Математическая модель затрат на передачу мощности по ЛЭП.
Определение: типовая группа ЛЭП – это группа ЛЭП одной конструкции, с проводниками одного материала, но разного сечения.
Поставим задачу определения ежегодных приведенных затрат на типовую группу ЛЭП в зависимости от передаваемой по ЛЭП мощности S (рис2.4).

Рис.2.4. Определение затрат на передачу мощности S.
Ежегодные приведенные затраты на ЛЭП сечением F определяются по формуле (2.1.1):
.
Первое слагаемое в этой формуле – это ежегодные отчисления от капитальных затрат на ЛЭП, не зависящие ни от сечения, ни от мощности. Например, для воздушной ЛЭП – это стоимость земли под ЛЭП, опор, изоляторов и т.п.
Второе слагаемое - это ежегодные отчисления от стоимости проводов, они прямо пропорциональны сечению, но не зависят от мощности.
Третье слагаемое – это стоимость годовых потерь электроэнергии в ЛЭП, пропорциональная квадрату мощности и обратно пропорциональная сечению.
На рис.2.5.а приведены графики затрат на передачу мощности по типовой группе ЛЭП. В интервале мощности 0 – S1 минимум затрат будет обеспечен при использовании сечения F1, в интервале S1 – S2 – при использовании сечения F2 и так далее. Интервалы изменения мощности 0 – S1, S1 – S2 и т.д., в которых минимум затрат имеет место при одном определенном сечении, называются экономическим интервалами. Границы экономических интервалов – это точки пересечения кривых затрат, соответствующих разным сечениям проводов.
Рис. 2.5. Точная математическая модель затрат на передачу мощности по ЛЭП.
График точной математической модели затрат на ЛЭП приведен на рис.2.5.б – это нижняя огибающая семейства кривых затрат, изображенных на рис. 2.5.а.
|
|
|
Точная математическая модель – это кусочно-гладкая квадратичная функция от мощности, границы излома которой соответствуют границам экономических интервалов. Недостатком точной модели является ее сложность, которая может быть устранена линеаризацией. Для перехода к линейной модели делается допущение о непрерывности шкалы сечений, т.е. предполагается, что, например, между стандартными сечениями F1 и F2 имеется еще множество промежуточных сечений. Тогда набор отрезков кривых заменяется касательной к этим отрезкам прямой линией (рис.2.6).

Рис.2.6. Линейная математическая модель затрат.
Для получения аналитического выражения линейной математической модели в точную формулу затрат (2.1.1) подставим выражение экономического сечения 
(2.2.1)


.
Обозначим
, тогда

2.4. Расчет сечения по допустимой потере напряжения.
После расчета и выбора сечения ЛЭП по нагреву (сети ниже 1000 В) или по экономической плотности тока (сети выше 1000 В) производится проверка по токам КЗ и на допустимую потерю напряжения ΔU ≤ ΔUДОП. Если эта проверка дает отрицательный результат (ΔU > ΔUДОП), то нужно определить сечение, при котором потеря напряжения будет равна допустимой ΔU = ΔUДОП, т.е. сделать расчет сечения по допустимой потере напряжения.
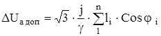
Допустим имеется магистральная ЛЭП 6-35 кВ, состоящая из «n» участков

Рис.
Потеря напряжения в ЛЭП:
, где (2.4.1)
- удельная проводимость материала проводников.
Учитывая, что удельное индуктивное сопротивление х0 слабо зависит от сечения, можно принять его неизменным х0 = Const и известным (на уровне среднего значения). Тогда реактивная составляющая потери напряжения:
. (2.4.2)
Далее при известной величине ΔUДОП можно определить допустимую (располагаемую) активную составляющую потери напряжения:
, или:
. (2.4.3)
Это уравнение содержит “n” неизвестных F1… Fi …Fn и, следовательно, имеет множество решений. Поэтому для нахождения одного решения необходимо наложить дополнительные условия. Ими могут быть:
а) Одно сечение на всех участках ЛЭП, F = Const;
б) Минимум расхода проводникового материала;
в) Одинаковая плотность тока на всех участках ЛЭП, j = Const.
Условие а: одинаковое сечение по всей длине магистрали.
Перепишем формулу (2.4.3), вынося постоянные члены за знак суммы:
, где F = Const, откуда
. (2.4.4)
Благодаря удобству монтажа и эксплуатации ЛЭП, имеющей одинаковые провода на разных участках, на практике это решение используется часто. К недостаткам этого решения относятся повышенные расходы на потери электроэнергии на перегруженных головных участках ЛЭП и на провода завышенного сечения конечных участков.
Условие б: минимум расхода проводникового материала.
Вывод формулы расчета сечения удобно сделать на примере магистральной ЛЭП, состоящей из двух участков (рис.).

Рис.
Потеря напряжения на реактивных сопротивлениях участков ЛЭП:
;
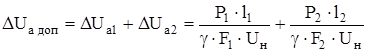
Допустимая потеря напряжения на активных сопротивлениях участков ЛЭП:
.
. (2.4.5)
Потери напряжения на активных сопротивлениях участков 1 и 2:
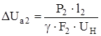
,
. (2.4.6)
Потеря напряжения на втором участке:
.
Сечения проводов на участках 1 и 2 из формул (2.4.6):

.
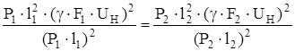
Далее запишем выражение для объема трех проводов ЛЭП:
.
Объем проводов зависит от распределения потерь напряжения по участкам 1 и 2, то есть от ΔUa1. Для нахождения минимума объема нужно первую производную от V по ΔUa1 приравнять к нулю: 
, или:
. Вместо ΔUa1 и ΔUa2 подставим их значения (2.4.6):
.
После упрощений получаем важное соотношение сечений и мощностей участков ЛЭП:
. (2.4.7)
Сечение проводов разных участков должно изменяться пропорционально корню квадратному из мощности.
|
|
|
Например, Р2 =1, F2 =1, Р1 = 2, F1 = √2 = 1,41. Мощность, передаваемая по первому участку вдвое больше мощности первого участка, а сечение первого участка лишь в 1,41 раз больше сечения второго участка.
Далее, используя (2.4.7), выразим F1 через F2:
и подставим его в (2.4.5):
.
После упрощений получаем:
, откуда находим сечение F2:
откуда находим сечение F2:
.
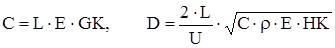
Если ЛЭП состоит не из двух, а из «n» участков, то сечение последнего (n-го) участка запишется:
. (2.4.8)
Зная сечение последнего участка, можно найти сечение любого другого, используя выражение (2.4.7):
.
Условие в: постоянная плотность тока.
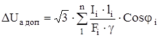
Для ЛЭП, состоящей из «n» участков запишем формулу допустимой потери напряжения:
.
Считая реактивное сопротивление известным, определяем потерю напряжения на нем:

и допустимую потерю напряжения на активном сопротивлении:
,
. (2.4.9)
В последнем выражении (2.4.9) отношение
- это плотность тока на участке “i”, одинаковая на всех участках.
Вынесем постоянные величины за знак суммы:
, откуда:
и
(2.4.10)
.
Если плотность тока, полученная с помощью выражения (2.4.10) значительно меньше экономической плотности для данного типа ЛЭП, то это свидетельствует о неправильном выборе номинального напряжения ЛЭП: оно занижено.
3. Расчет, анализ и нормирование потерь электроэнергии в электрических сетях.
Для перемещения эл.энергии от мест производства до мест потребления расходуется часть самой передаваемой эл.энергии, т.е. ее потери неизбежны.
Перемещение энергии (например, бензина с помощью бензовоза) из одного места в другое требует затрат, но никто не говорит, что "потери бензина составили 15 л", а говорят "расход бензина составил 15 л." Но расход электроэнергии на ее перемещение традиционно называют "потерями", что среди неспециалистов вызывает представление о плохо организованном процессе транспортировки, ассоциируясь с потерями угля, зерна и т.п.
Известен случай, когда в 80-х годах комиссия народного контроля в акте проверки одной из энергосистем предписала "устранить потери электроэнергии".
|
|
|
Задача специалистов - определить экономически обоснованный уровень потерь и реализовать его на практике.
За период с1991 по2001 г.г. относительная величина потерь возросла с 8,51% до 13,1% при снижении потребления эл.энергии в 1,34 раза!
Поэтому проблема снижения потерь очень актуальна.