Известно, что оборудование со временем изнашивается, стареет физически и морально. В процессе эксплуатации, как правило, падает его производительность и растут эксплуатационные расходы на текущий ремонт. Со временем возникает необходимость замены оборудования, так как его дальнейшая эксплуатация обходится дороже, чем ремонт. Отсюда задача о замене может быть сформулирована так. В процессе работы оборудование дает ежегодно прибыль, требует эксплуатационных затрат и имеет остаточную стоимость. Эти характеристики зависят от возраста оборудования. В любом году оборудование можно сохранить, продать по остаточной цене и приобрести новое. В случае сохранения оборудования возрастают эксплуатационные расходы и снижается производительность. При замене нужны значительные дополнительные капитальные вложения. Задача состоит в определении оптимальной стратегии замен в плановом периоде, с тем чтобы суммарная прибыль за этот период была максимальной.
Для количественной формулировки задачи введем следующие обозначения: r(t) — стоимость продукции, производимой за год на единице оборудования возраста t лет; u(t) — расходы, связанные с эксплуатацией этого оборудования; s(t) — остаточная стоимость оборудования возраста t лет; р — покупная цена оборудования; Т — продолжительность планового периода; t = 0,1, 2,..., Т — номер текущего года.
Решение. Чтобы решить задачу, применим принцип оптимальности Р. Беллмана. Рассмотрим интервалы (годы) планового периода в последовательности от конца к началу. Введем функцию условно-оптимальных значений функции цели Fk(t). Эта функция показывает максимальную прибыль, получаемую от оборудования возраста t лет за последние к лет планового периода. Здесь возраст оборудования рассматривается в направлении естественного хода времени. Например, t = 0 соответствует использованию совершенно нового оборудования. Временные же шаги процесса нумеруются в обратном порядке. Например, при к = 1 рассматривается последний год планового периода, при к = 2 — последние два года и т. д., при к = Т — последние Т лет, т. е. весь плановый период. Направления изменения t и к показаны на рисунке.

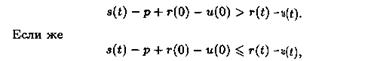
В этой задаче систему составляет оборудование. Ее состояние характеризуется возрастом. Вектор управления - это решение в момент t = = 0,1, 2,..., Т о сохранении или замене оборудования. Для нахождения оптимальной политики замен следует проанализировать, согласно принципу оптимальности, процесс от конца к началу. Для этого сделаем предположение о состоянии оборудования на начало последнего года (k = 1). Пусть оборудование имеет возраст t лет. В начале Т-го года имеются две возможности: 1) сохранить оборудование на Т-й год, тогда прибыль за последний год составит r(t) — u(t); 2) продать оборудование по остаточной стоимости и купить новое, тогда прибыль за последний год будет равна s(t) — р + г(0) — u(0), где г(0) — стоимость продукции, выпущенной на новом оборудовании за первый год его ввода; u(0) — эксплуатационные расходы в этом году. Здесь целесообразно разворачивать процесс от конца к началу. Для последнего года (к = 1) оптимальной политикой с точки зрения всего процесса будет политика, обеспечивающая максимальную прибыль только за последний год. Учитывая значение прибыли при различном образе действия (замена — сохранение), приходим к выводу, что решение о замене оборудования возраста t лет следует принять в случае, когда прибыль от нового оборудования на последнем периоде больше, чем от старого, т.е. при условии

то старое оборудование целесообразно сохранить.
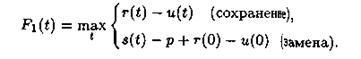
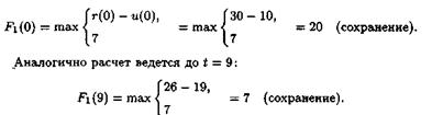
Итак, для последнего, года оптимальная политика и максимальная прибыль F1{t) находятся из условия

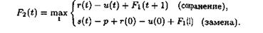
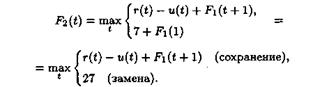
Пусть к = 2, т. е. рассмотрим прибыль за два последних года. Делаем предположение о возможном состоянии t оборудования на начало предпоследнего года. Если в начале этого года принять решение о сохранении оборудования, то к концу года будет получена прибыль r(t) - u(t). На начало последнего года оборудование перейдет в состояние t + 1, и при оптимальной политике в последнем году оно принесет прибыль, равную F1(t + 1). Таким образом, общая прибыль за два года составит r(t) - u(t) + F1(t + 1). Если же в начале предпоследнего года будет принято решение о замене оборудования, то прибыль за предпоследний год составит s(t)-p+r(0)-u(0). Поскольку приобретено новое оборудование, на начало последнего года оно будет в состоянии t = 1. Следовательно, общая прибыль за последние два года при оптимальной политике в последнем году составит

Условно-оптимальной в последние два года будет политика, доставляющая максимальную прибыль:

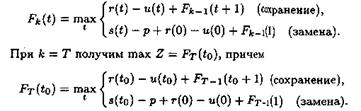
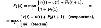
Аналогично находим выражения для условно-оптимальной прибыли за три последних года, четыре и т. д. Общее функциональное уравнение примет вид

Таким образом, разворачивая весь процесс от конца к началу, получаем, что максимальная прибыль за плановый период Т составит FT(t0). Так как начальное состояние to известно, из выражения для FT(t0) находим оптимальное решение в начале первого года, потом вытекающее оптимальное решение для второго года и т.д. Обратимся к числовому примеру.
Разработать оптимальную политику замены оборудования при условиях:
1) стоимость r(t) продукции, производимой с использованием оборудования за год, и расходы u(t), связанные с эксплуатацией оборудования, заданы таблицей;
2) ликвидационная стоимость машины не зависит от ее возраста и равна 2;
3) цена нового оборудования со временем не меняется и равна 15;
4) продолжительность планового периода 12 лет.
Итак, s(t) = 2, р = 15, Т = 12.

Запишем функциональные уравнения для F1(t) и Fк(t) при числовых значениях нашего примера:

Пользуясь выражениями (8.9), (8.10), будем последовательно вычислять значения максимальной прибыли Fк(t) и записывать их в специальную таблицу (табл. 8.4). Первую строку получим, придавая параметру t в равенстве (8.9) значения 0,1,...,12 и используя исходные данные табл. 8.3. Например, при t = 0

Заметим, что если прибыль от нового оборудования равна прибыли от старого, то старое лучше сохранить еще на год:


Из табл. 8.3 видно, что r(t) – u(t) с ростом t убывает. Поэтому при t > 9 оптимальной будет политика замены оборудования. Чтобы различать, в результате какой политики получается условно-оптимальное значение прибыли, будем эти значения (до t = 9 включительно оптимальной является политика сохранения) разграничивать жирной линией. Для заполнения второй строки табл. 8.4 используем формулу (8.10). Для к = 2 получаем

Придадим параметру t значения 0,1,2,...,12, значения r(t) и u(t) возьмем из табл. 8.3, а значения F1(t + 1) — из первой строки табл. 8.4. Для третьей строки расчетную формулу получим из равенства (8.10) при к = 3:

и т. д. Заполнив табл. 8.4, данные ее используем для решения поставленной задачи. Эта таблица содержит много ценной информации и позволяет решать все семейство задач, в которое мы погружали исходную задачу.
Пусть, например, в начале планового периода имеем оборудование возраста 6 лет. Разработаем "политику замен" на двенадцатилетний период, доставляющую максимальную прибыль. Информация для этого имеется в табл. 8.4. Максимальная прибыль, которую можно получить за 12 лет при условии, что вначале имелось оборудование возраста 6 лет, находится в табл. 8.4 на пересечении столбца t = 6 и строки F12(t); она составляет 180 единиц.
Значение максимальной прибыли F12(6) = 180 записано справа от ломаной линии, т.е. в области "политики замены". Это значит, что для достижения в течение 12 лет максимальной прибыли в начале первого года оборудование надо заменить. В течение первого года новое оборудование постареет на год, т.е., заменив оборудование и проработав на нем 1 год, мы за 11 лет до конца планового периода будем иметь оборудование возраста 1 год. Из табл. 8.4 берем F11(l) = 173. Это значение располагается в области "политики сохранения", т. е. во втором году планового периода надо сохранить оборудование возраста 1 год, и, проработав на нем год, за 10 лет до конца планового периода будем иметь оборудование возраста 2 года.
Выясняем, что значение F10(2) = 153 помещено в области сохранения. Работаем на оборудовании еще год. Теперь до конца планового периода осталось 9 лет, а возраст оборудования составляет 3 года. Находим F9(3) = 136. Это область сохранения. Работаем на оборудовании еще год. Его возраст становится равным 4 годам. До конца планового периода остается 8 лет. Определяем F8(4) = 120. Это область замен. Заменяем оборудование на новое. Проработаем на нем в течение четвертого года. Оно постареет на год. До конца планового периода останется 7 лет. Находим F7(l) = 113. Это область сохранения. Продолжив подобные рассуждения, установим, что F6(2) = 93, F5(3) = 76 расположены в области сохранения, F4(4)=60 — в области замен, F3(l) = 53, F2(2) = 33, F1(3) = 16 — в области сохранения. Разработанную политику изобразим следующей цепочкой:

Таким образом, вместо поиска оптимальной "политики замен" на плановый период в 12 лет мы погрузили исходную задачу в семейство подобных, когда период меняется от 1 до 12. Решение ведется по принципу оптимальности для любого состояния системы, независимо от ее предыстории. Оптимальная "политика замен" является оптимальной на оставшееся число лет. Табл. 8.4 содержит информацию для решения и других задач. Из нее можно найти оптимальную стратегию замены оборудования с любым начальным состоянием от 0 до 12 лет и на любой плановый период, не превосходящий 12 лет. Например, найдем "политику замен" на плановый период в 10 лет, если вначале имелось оборудование пятилетнего возраста:

Задачу о замене оборудования мы упростили. На практике же деталями не пренебрегают. Легко учесть, например, случай, когда остаточная стоимость оборудования s(t) зависит от времени. Может быть принято решение о замене оборудования не новым, а уже проработавшим некоторое время. Не составляет также труда учесть возможность капитального ремонта старого оборудования. При этом в понятие "состояние" системы необходимо включить время последнего ремонта оборудования. Функция Fk(ti,t2) выражает прибыль за последние к лет планового периода при условии, что вначале имелось оборудование возраста t1, прошедшее капитальный ремонт после t2 лет службы. Характеристики г, s и и также будут функциями двух переменных t1 и t2.