Вспомогательные компрессоры применяются на электроподвижном составе и предназначены для наполнения сжатым воздухом пневматических магистралей, например, главного воздушного выключателя, блокирования щитов высоковольтной камеры и токоприемника при отсутствии сжатого воздуха в главных резервуарах (ГР) и резервуаре токоприемника.
Компрессоры должны полностью обеспечивать потребность в сжатом воздухе при максимальных расходах и утечках его в поезде. Во избежание перегрева режим работы компрессора устанавливается повторно-кратковременным. При этом продолжительность включения (ПВ) компрессора под нагрузкой допускается не более 50%, а продолжительность цикла до 10 мин.
Основные компрессоры, применяемые на подвижном составе, как правило, являются двухступенчатыми. Сжатие воздуха в них происходит последовательно в двух цилиндрах с промежуточным охлаждением между ступенями. Схема такого компрессора и теоретическая индикаторная диаграмма его работы в координатах (р - V) показаны на рис. 3.1.

1- поршень, 2- цилиндр первой ступени, 3- всасывающий клапан, 4- холодильник, 5- нагнетательный клапан, V - объем всасываемого воздуха, Vв - объем пространства над поршнем в его верхнем положении (объем вредного пространств а), Vх - полный объем, описываемый поршнем при ходе из одного крайнего положения в другое.
При первом ходе вниз поршня 1 открывается всасывающий клапан 3, и в цилиндр 2 первой ступени поступает воздух из атмосферы (Ат) при постоянном давлении. Линия всасывания АС (Рис. 3.1. б) располагается ниже пунктирной линии атмосферного барометрического давления на величину потерь на преодоление сопротивления всасывающего клапана. При ходе поршня 1 вверх всасывающий клапан 3 закрывается, объем рабочего пространства цилиндра 2 уменьшается и воздух сжимается по линии CD до давления в холодильнике 4, после чего открывается нагнетательный клапан 5 и происходит выталкивание сжатого воздуха в холодильник по линии нагнетания DF с постоянным противодавлением.
В процессе последующего хода поршня 1 вниз происходит расширение оставшегося во вредном пространстве (объем пространства над поршнем в его верхнем положении) сжатого воздуха по линии FB до тех пор, пока давление в рабочей полости не понизится до определенной величины и всасывающий клапан 3 откроется атмосферным давлением. Далее процесс повторяется. На первой ступени воздух сжимается до давления 2,0 – 4,0 кгс/см2.
Аналогично работает вторая ступень компрессора со всасыванием воздуха из холодильника 4 по линии FE, сжатием по линии EG, нагнетанием в главные резервуары по линии GH, расширением во вредном пространстве цилиндра второй ступени по линии HF'. Заштрихованная площадь индикаторной диаграммы характеризует уменьшение работы сжатия за счет охлаждения воздуха между ступенями.
Сжатие воздуха сопровождается выделением тепла. В зависимости от интенсивности охлаждения и количества тепла, отбираемого от сжимаемого воздуха, линия сжатия может быть изотермой, когда отводится все выделяющееся тепло и температура остается постоянной, адиабатой, когда процесс сжатия идет без отвода тепла, или политропой при частичном отводе выделяющегося тепла.
Адиабатический и изотермический процессы сжатия являются теоретическими. Действительный процесс сжатия является политропным.
Основными показателями работы компрессора являются производительность (подача), объемный, изотермический и механический к.п.д.
Производительностью компрессора называется объем воздуха, нагнетаемый компрессором в резервуар в единицу времени, замененный на выходе из компрессора, но пересчитанный на условия всасывания.
В практической деятельности с достаточной точностью для определения производительности можно пользоваться следующей формулой:

где: V - объем резервуара, л;
Р2 - конечное давление в резервуаре, кгс/см2;
Р1 - начальное давление в резервуаре, кгс/см2;
t - время повышения давления в резервуаре с начального до конечного давления.
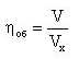
Производительность компрессора локомотива определяют по времени повышения давления в ГР с 7,0 до 8,0 кгс/см2. Объемный к.п.д. характеризует уменьшение производительности компрессора под влиянием вредного пространства; он зависит от величины вредного пространства и давления. Объемный к.п.д. одной ступени определяется по формуле:

где: V - объемы всасываемого воздуха;
Vх - полный объем, описываемый поршнем при ходе их одного крайнего положения в другое.
======================================================






