Задача 1. Нахождение оптимального объема производства фирмы-монополиста.
Известно, что функция спроса монополиста имеет вид Р=5000-17Q, функция совокупных издержек TC=75000+200Q-17Q2+Q3.
Определить:
· объем производства, обеспечивающий фирме максимальную прибыль;
· оптимальную рыночную цену;
· величину совокупной прибыли;
Решение:
Условием максимизации прибыли является равенство MC=MR. Найдем МС и MR из данных уравнений:
1. TR=PQ=(5000-17Q)Q=5000Q-17Q2;
MR=(TR)'=dTR/dQ=5000-34Q;
2. MC=(TC)'=200-34Q+3Q2;
3. MC=MR;
200-34Q+3Q2=5000-34Q;
3Q2=4800;
Q=-40 Q=40.
Поскольку отрицательное значение не имеет экономического смысла, то оптимальный объем производства Q*=40.
Оптимальная рыночная цена находится путем подстановки Q* в функцию спроса.
4. P=5000-17Q;
P=5000-17(40)=4320 руб.
Совокупная прибыль может быть найдена как разница между TC и TR при Q*=40.
5. п=TR-TC=52000 руб.
Задача 2
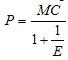
Эластичность спроса на продукцию фирмы-монополиста Еd=-2. Функция общих издержек задана уравнением ТС=75+3Q2. Найти цену, обеспечивающую фирме максимальную прибыль при объеме производства Q=10.
Найдем величину предельных издержек при данном объеме.
МС=(ТС)'=6Q=6(10)=60.
Подставим полученное значение МС и коэффициент Е в универсальную формулу ценообразования:

Р=60:(1-1/2)=120 руб.






