Импульсный метод

Рисунок 7.3 – Структурная схема умножителя частоты:
Г – генератор гармонических колебаний;
Ф – формирователь коротких прямоугольных импульсов (
);
ПФ – полосовой фильтр. Из спектра частот полученной последовательности импульсов выделяет составляющую нужной частоты.

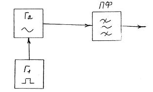
Рисунок 7.4 – Структурная схема умножителя частоты:
Г1 – импульсный генератор. Управляет (манипулирует) Г2;
Г2 – генератор, формирующий радиоимпульсы с прямоугольной огибающей.
Чтобы гармоника нужной частоты имела наибольшую амплитуду, нужно выполнить условие:
,
где
- частота заполнения радиоимпульсов;
и
- частота и период повторения манипулирующих импульсов.

Рисунок 7.5 – Временная и спектральная диаграммы радиоимпульсов:
- длительность радиоимпульса.
8 LC -АВТОГЕНЕРАТОРЫ






