Линии постоянного тока имеют ряд преимуществ: реактивные пар-ры линий постоянного тока (индуктивность и емкость) не оказывают влияния на нормальный режим работы. Это означает, что при реальных соотношениях между активными и реактивными сопротивлениями, реактивное сопротивление намного меньше активного. Передаваемая по линии постоянного мощ-ть пропорциональна разности и имеет следующий вид:
, где И1 и И2 – переменные напряжения приложенные к выпрямителю и инвертору, α и β – углы зажигания выпрямителя и погасания инвертора. Непрерывное регулирование преобразователей создает хорошие предпосылки для создания эл. цепей постоянного тока с межсистемными связями ограниченной мощ-ти. Целесообразность таких целей экономически обосновывается с цепями переменного тока.
Передаваемая мощ-ть определяется:
, где Ип – напряжение провода по отношению к земле, Iп – ток, проходящий по проводу.
Мощ-ть, передаваемая по линии переменного тока:
, где Ил – линейное напряжение.
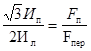
Запишем тождество:
=
,
сделав преобразования можно записать:
.
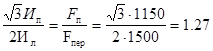
Исходя из того, что линии переменного напряжения на 1150 кВ, эквивалентны линиям постоянного тока напряжением 1500 кВ, подставив в выражение, получим отношение:
.
Таким образом сечение линий постоянного тока в 1.27 раза больше сечения линией переменного тока, но т.к. постоянный ток имеет 2 провода, переменный 3, то в итоге затраты на провод в линии постоянного тока в 1.18 раз меньше затрат в линии переменного тока.
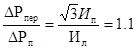
Потери мощ-ти в линии переменного и постоянного тока будут иметь выражение:
, это означает, что потери в ЛЭП переменного тока на 10% больше, чем линии постоянного тока.
Распределение потерь по сетям в зависимости от напряжения:
| И, кВт | 300-700 | 35 и ниже | |||
| Потери, % | 7.1 | 8.1 | 14.3 | 29.2 | 41.3 |
Тема 9: Основы централизации, концентрации и размещения энергетических мощностей.






