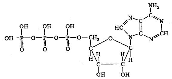
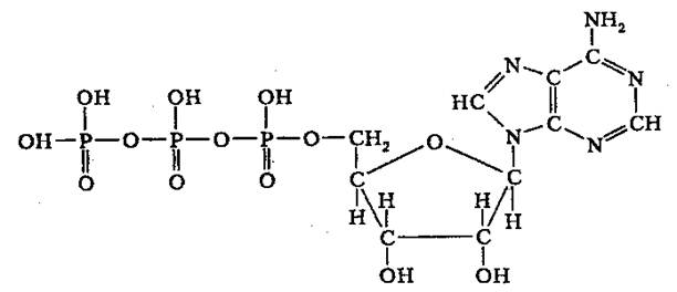
1. Рассмотрите формулы соединений и подпишите их названия

_________________________________

___________________________________
2. Дайте определение.
Обмен веществ, или метаболизм, - это …
3. Обозначьте знаком «+» правильные утверждения, знаком «-» - неправильные.
1) Ассимиляция и диссимиляция – это не связанные между собой процессы
2) Пластический и энергетический обмен – это две взаимосвязанные стороны единого процесса обмена веществ и превращения энергии в живых организмах
3) В организмах, которые развиваются, преобладают процессы диссимиляции
4) Хемотрофы – это организмы, которые используют энергию неорганических соединений для осуществления процессов жизнедеятельности
5) Бескислородный этап энергетического обмена проходит в митохондриях
6) Во время гликолиза выделяется около 200 кДж энергии
7) Расщепление глюкозы может происходить с помощью спиртового брожения, что наблюдается у некоторых видов дрожжей и бактерий
8) При бескислородном расщеплении глюкозы образуется 36 молекул АТФ
|
|
|
4. Обозначьте знаком «+» все правильные ответы:
1) К пластическому обмену относятся:
А. Реакции синтеза органических соединений
Б. Реакции распада органических соединений
В. Процесс синтеза белка
Г. Процесс синтеза жиров
2) Молекула, которая является посредником между реакциями энергетического и пластического обмена
А. Глюкоза Б. АТФ В. ДНК Г. РНК
3) Количество молекул АТФ, которое образуется на подготовительном этапе энергетического обмена:
А. 2 Б. 6 В. Молекулы АТФ не образуются Г. 18
4) У большинства многоклеточных животных и человека подготовительный этап энергетического обмена происходит:
А. В митохондриях Б. В желудочно-кишечном тракте
В. На мембранах Г. В печени
5. Допишите предложения.
На подготовительном этапе энергетического обмена белки расщепляются до …, жиры до … и …, углеводы до …, нуклеиновые кислоты до …. Сущность гликолиза заключается в том, что молекула глюкозы расщепляется на …, при этом образуется … молекулы АТФ.
6. Напишите суммарное уравнение гликолиза и кислородного этапа.






