ПРИНЦИП СФЕРА ВЛИЯНИЯ
Основополагающие принципы доходного метода
Теоретической базой доходного метода являются принципы оценки, которые представляют собой обобщение анализа поведенческих характеристик участников рынка недвижимости и функциональныхсвязей между ценами и ценообразующими факторами.
Ниже приведены принципы, которые наиболее значимы для доходного метода, а также факторы и обстоятельства, анализ которых базируется на соответствующем принципе.
Ожидания Весь спектр прогнозных данных:
(основной принцип, ценообразуюшие факторы,
на котором базируется характеристики дохода, капитала,
оценка по доходу) коэффициенты
Замещения Выбор и анализ объектов-аналогов,
анализ альтернативных инвестиций
Спроса Учет и анализ факторов:
и предложения полезность, дефицитность,
конкурентоспособность,
доступность рынка капитала,
монопольный, государственный контроль,
деловая активность, характеристики населения
Предельной Анализ объекта недвижимости:
Продуктивности экономическое соответствие элементов
(баланса, вклада) недвижимости,
ее использование и тип землепользования
Ставка капитализации R0используется в методе прямой капитализации в соответствии с формулой
V = NOI
R0
где V — стоимость;
NOI — репрезентативная величина ожидаемого чистого операционного годового дохода.
Ставка капитализации включает ставку дохода на капитал (вложенные средства, или первоначальная инвестиция) и норму возврата, учитывающую возмещение первоначально вложенных средств.
Как и любая ставка дохода, ставка капитализации прежде всего отражает риски, которым подвергаются средства, вкладываемые в данный актив. Доходы, которые приносит недвижимость, должны удовлетворять двум группам экономических интересов: физические интересы (земля, улучшения) и финансовые интересы (собственный капитал, заемный капитал). Финансовые интересы отражают естественную экономическую ситуацию, когда для приобретения актива в виде недвижимости привлекаются заемные средства. Соответственно при анализе доходной недвижимости возникает потребность в оценке этих интересов, каждому из которых соответствует своя ставка капитализации (табл. 7.1).
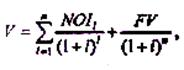
Ставка дисконтирования (норма прибыли, норма отдачи) используется во втором методе капитализации — методе дисконтированного денежного потока. Общее выражение для определения стоимости выглядит следующим образом:
![]() |
где i—ставка дисконтирования;
FV— цена перепродажи объекта недвижимости в конце
периода владения (реверсия);
n —период владения;
l — помер платежного периода.
Стоимость определяется как сумма текущих стоимостей доходов за каждый период и реверсии, рассчитанных по соответствующей ставке. Ставка дисконтирования i иначе называется нормой отдачи на инвестиции. Эта величина также характеризует эффективность капиталовложений. Она учитывает весь совокупный доход (доход на инвестиции и доход от изменения стоимости актива), приводя в соответствие по факторам времени и риска первоначальные инвестиции и реализуемый экономический эффект. Ставку дисконтирования следует рассматривать с учетом того, что рынок капитала, рынок ценных бумаг и рынок недвижимости представляют собой единую систему инвестиционных инструментов. Единство этой системы, в частности, определяется едиными критериями выбора: риск и доходность. Эти критерии отражают ставки дохода (в частности, ставку капитализации и ставку дисконтирования), являясь их функциями. Выбор ставки дисконтирования основан на анализе доступных альтернативных вариантов инвестиций с сопоставимым уровнем риска, т. е. эта ставка рассматривается как альтернативная стоимости капитала.







