Изменим, условия предыдущей задачи с учетом допущений Хоскольда, предположив, что инвестору доступно реинвестирование под 7% годовых, а отдача на первоначальное капиталовложение составляет 20%.
R0 = 0,1 + sff(5 лет, 7%) = 0,1 + 0,174 = 0,274;
![]() |
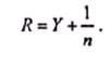
Формирование фонда возмещения при линейном возврате капиталавыполняется так. Определение ставки капитализации по норме отдачи и линейному фонду возмещения (метод Ринга) предполагает возврат капитала равными частями в течение срока владения активом.
Норма возврата в этом случае представляет собой ежегодную долю первоначального капитала, отчисляемую в беспроцентный фонд возмещения. Эта доля при 100%-м возмещении капитала равна 1/n, где n — время амортизации, исчисляемое в годах.
Выражение для общей ставки капитализации по методу Ринга выглядит следующим образом:
![]() |
ПРИМЕР 6
Чистым доход, приходящийся на офисное здание с оставшимся сроком экономической жизни 15 лет, равен 25 000 долл. за 1-й год, норма отдачи для объекта оценивается в 15%. Какова стоимость здания? К концу срока экономической жизни оно полностью обесценивается. Этот пример соответствует допущению Ринга о линейном возврате капитала, которое обычно используется при оценке истощающихся активов, например подверженных износу (табл. 7,4).
|
|
|
![]() |
Таблица 7.4 Поток доходя за первые 5 лет (долл.)
| Год | Возврат основной суммы | Доход на инвестиции | Ежегодный доход | Отток первоначального капитала |
| 1-й | 7680,5 | 24961,5 | 107 526,9 | |
| 2-й | 7680,5 | 23 809,5 | 99 846,4 | |
| 3-й | 7680,5 | 22 657,5 | 92 165,9 | |
| 4-й | 7680,5 | 21475,5 | 84 485,4 | |
| 5-й | 7680,5 | 20 323,5 | 76 804,9 |
Таблица 7.4 показывает, что линейное возмещение капитала характерно для убывающих доходов. Если бы задача решалась по методу Инвуда, то стоимость получилась бы завышенной.
При долевом изменении стоимости норма возврата учитывает частичное возмещение, или компенсацию, первоначальной стоимости с учетом допущения относительно способа компенсации.
ПРИМЕР 7
Недвижимость, приносит 10 000 долл. чистого дохода. Предполагается, что к моменту продажи через 5 лет ее стоимость увеличивается на 30%, т. е. Δ = 0,3. Ставка дисконтирования для подобных объектов составляет 15%. Рассчитать стоимость недвижимости в предположении, что норма для компенсации изменения стоимости определяется по ставке, равной норме прибыли.
R0 = Y0 - 0,3 sff = 0,15 + 0,3 х sff (5 лет, 15%) = 0,15 - 0,3 x 0,148 = 0,106 (10,6%);

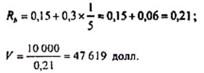
ПРИМЕР 8
Те же условия, что и в примере 7, но предполагается, что недвижимость приносит 10 000 долл. чистого дохода за 1-й год и уменьшение стоимости линейное (на 30%).



